2023广东高三综合能力测试(光大联考)是很多考生都在关注的,大家应该都非常想要知道广东高三综合能力测试(光大联考)数学科目试题答案解析,高考100网小编就为大家带来2023广东高三综合能力测试(光大联考)数学参考答案解析及试卷汇总。
2023广东高三综合能力测试(光大联考)答案及试卷汇总
https://m.gk100.com/read_95573.htm(点击即可查看)
一、2023广东高三综合能力测试(光大联考)数学试卷
目前2023广东高三综合能力测试数学试卷已更新,具体试卷情况如下,如果大家想要了解更多试卷内容,可以进入高考100网进行查看,仅供参考。




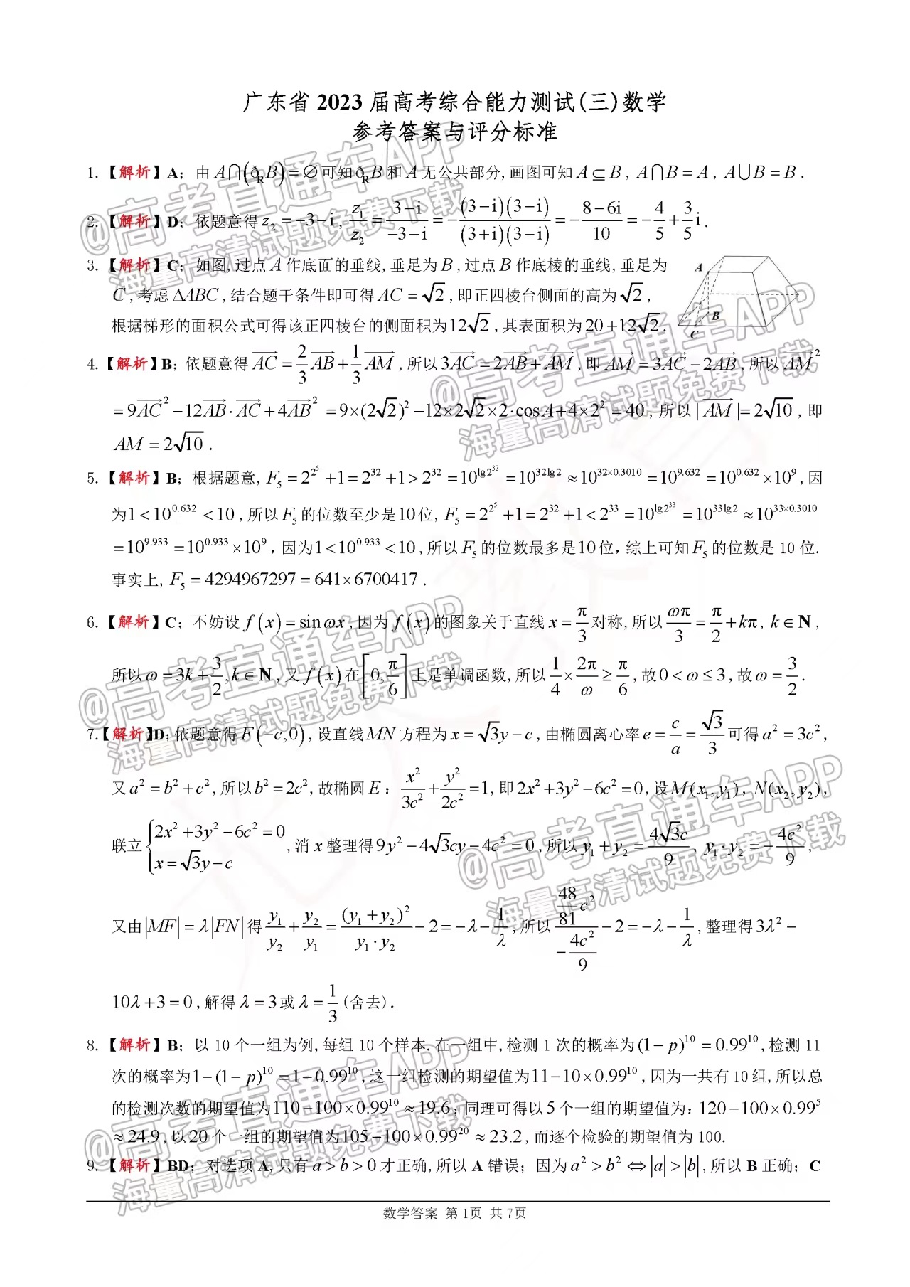
二、2023广东高三综合能力测试(光大联考)数学答案解析
目前2023广东高三综合能力测试数学答案已更新,具体答案情况如下,如果大家想要了解更多试卷内容,可以进入高考100网进行查看,仅供参考。









