2025年广东高考一分一段表已于6月26日公布。物理类697含以上,历史类672含以上,最低位次排名均为19。
2025年广东高考录取数据显示:5000名左右物理类对应院校有中山大学214组(位次5517)、中山大学215组(位次4264),历史组有广州中医药大学211组(位次5280)、暨南大学204组(位次4615)等。
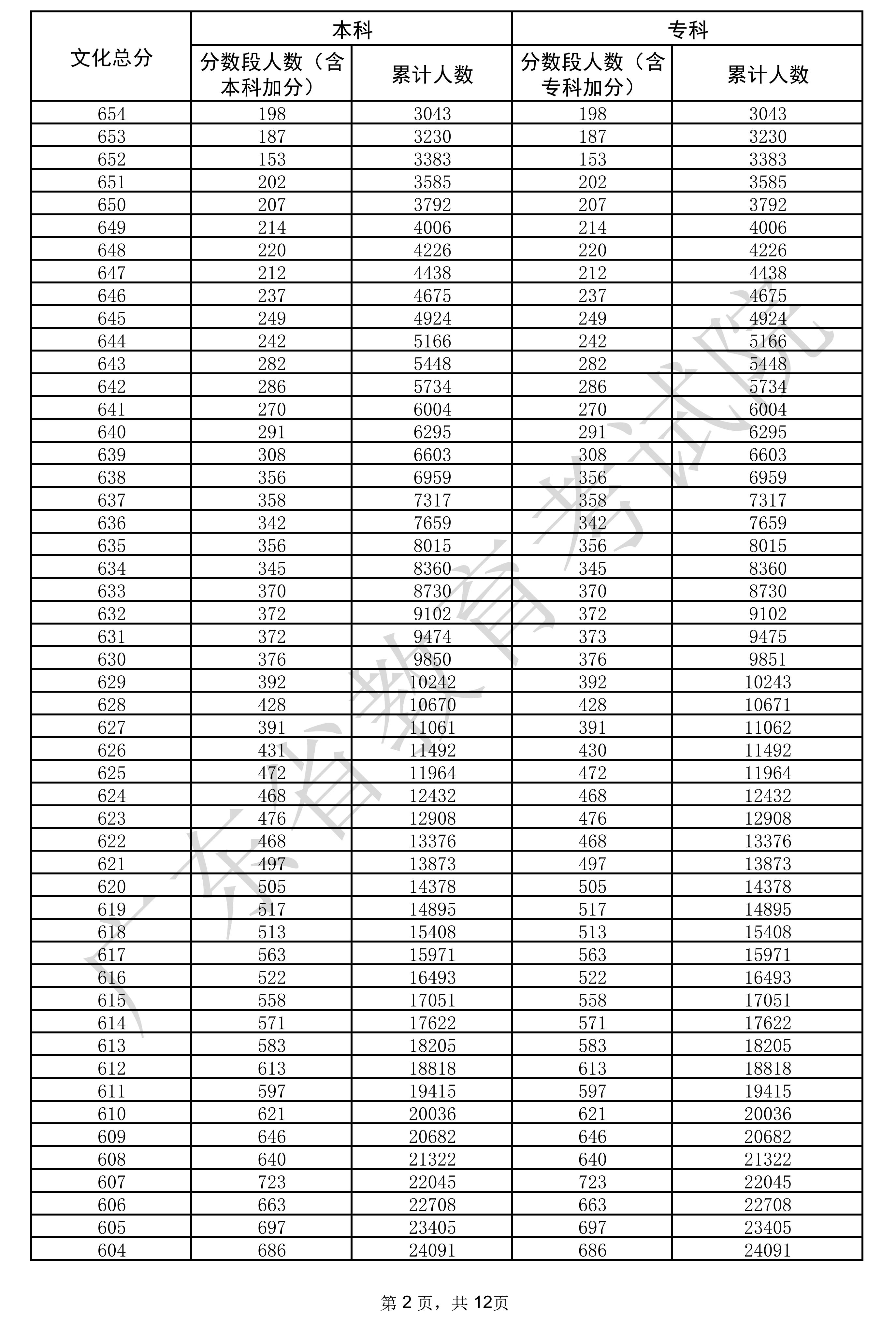
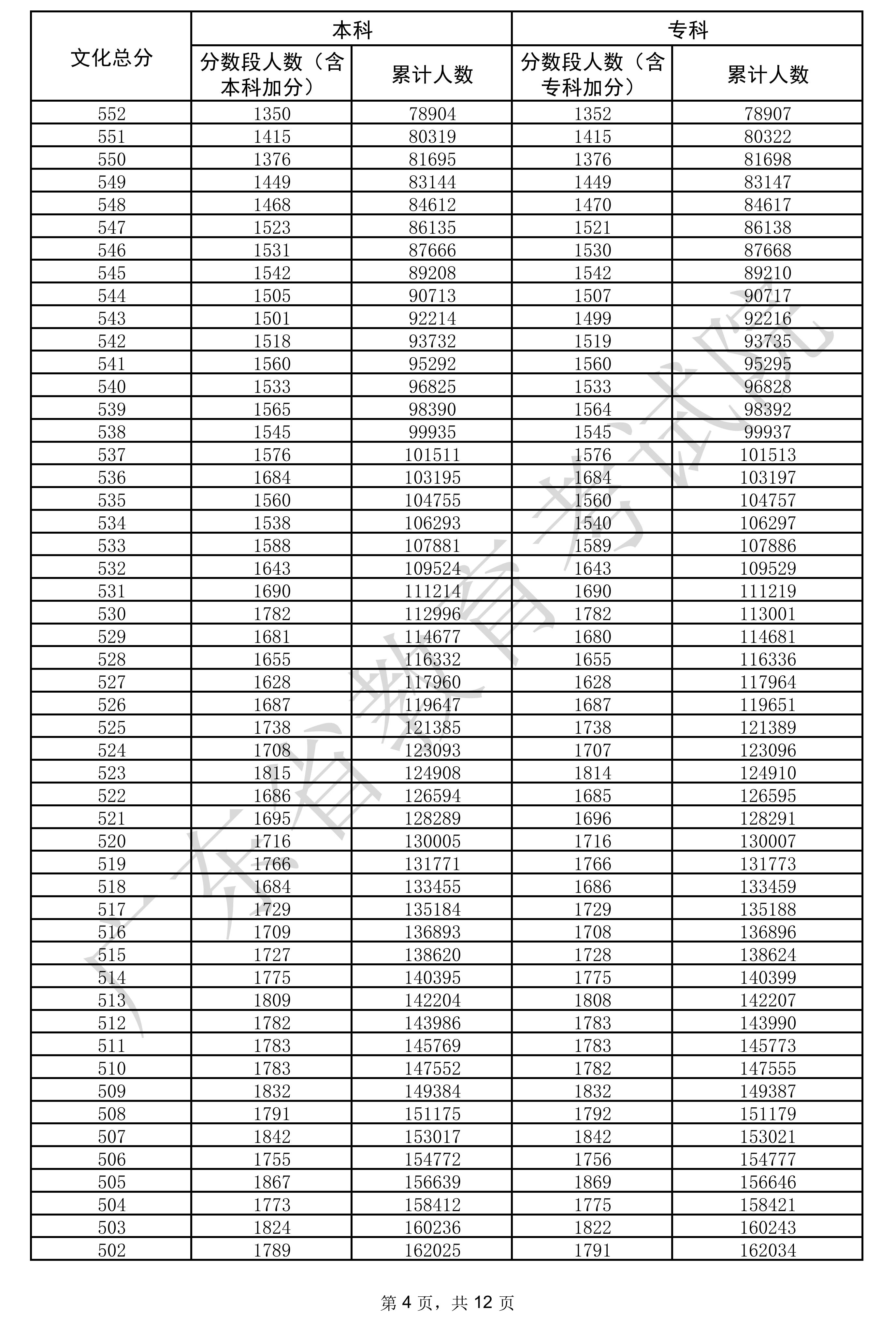
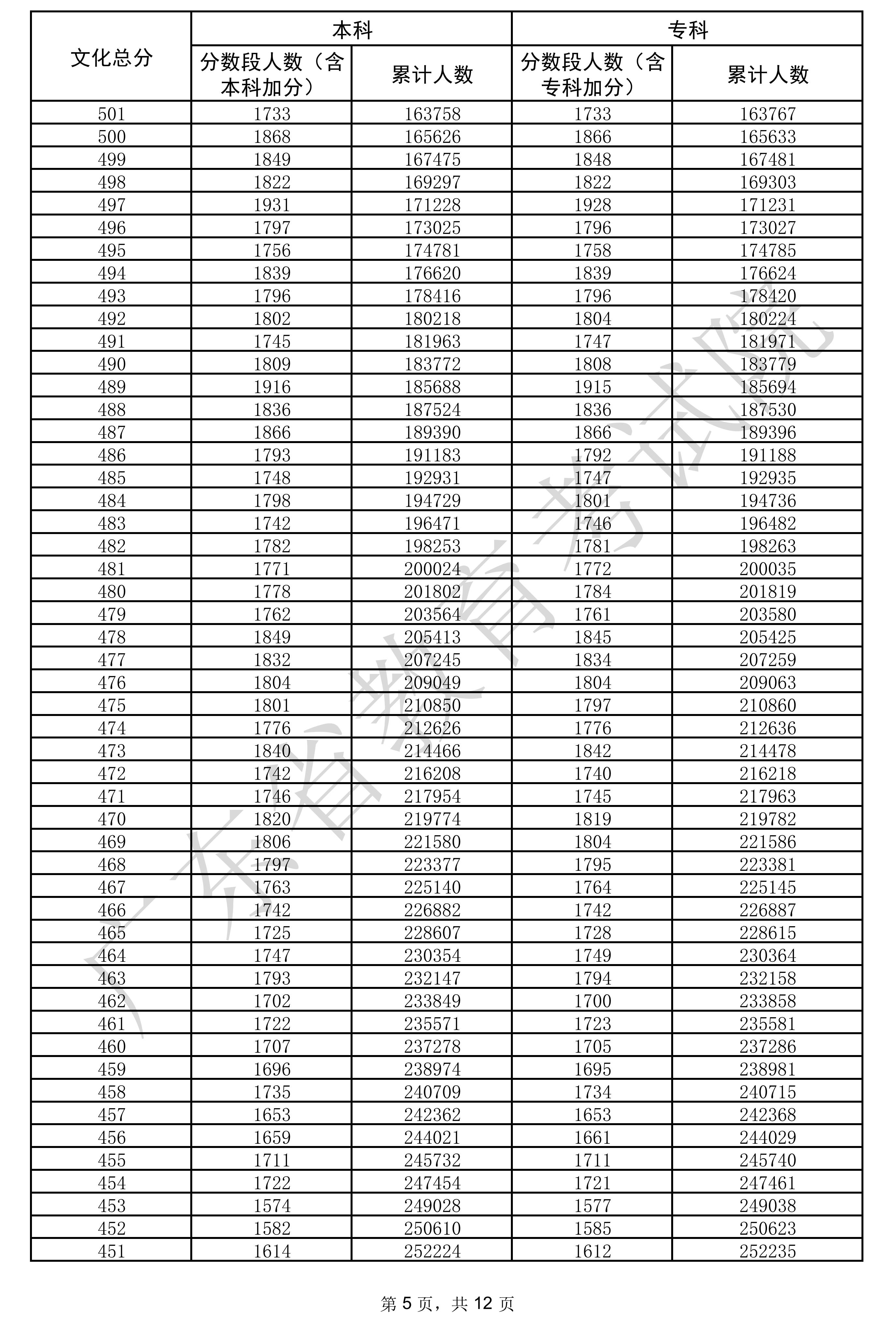
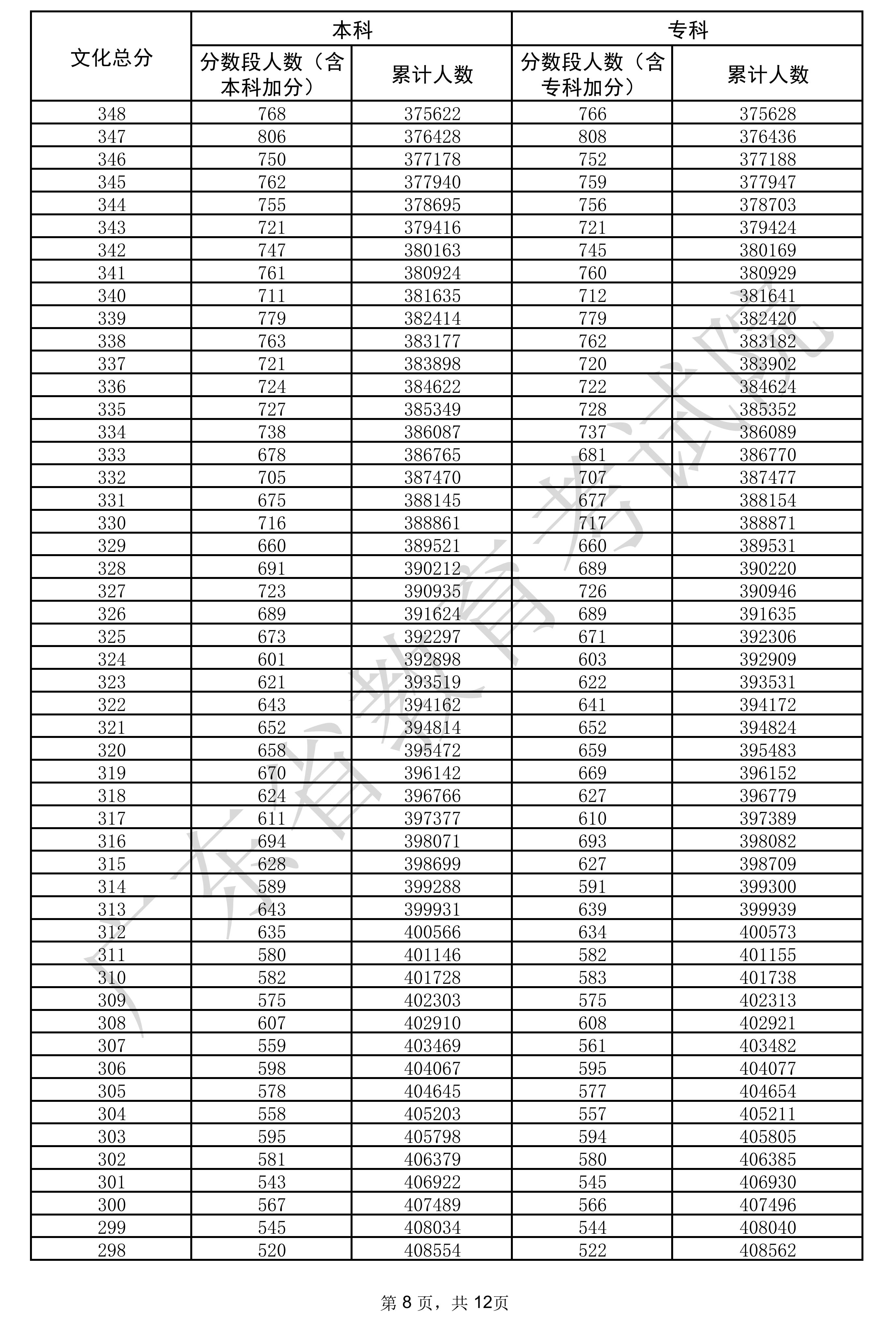
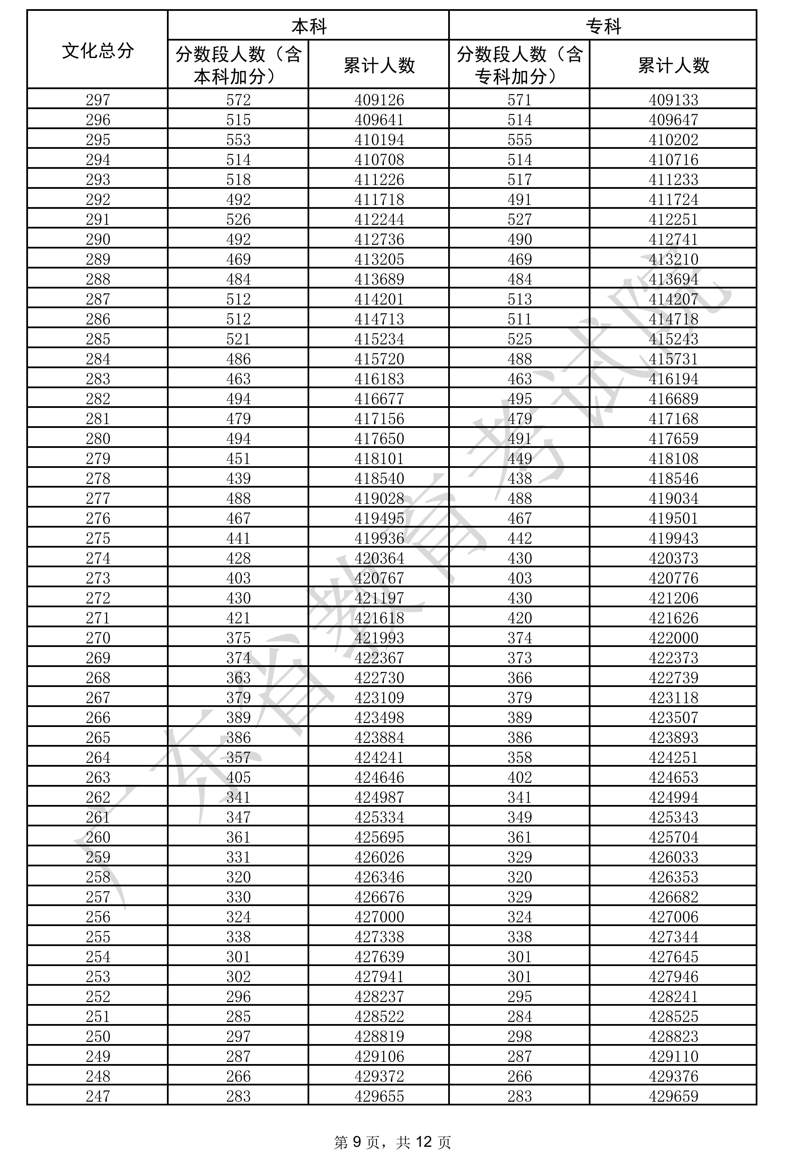
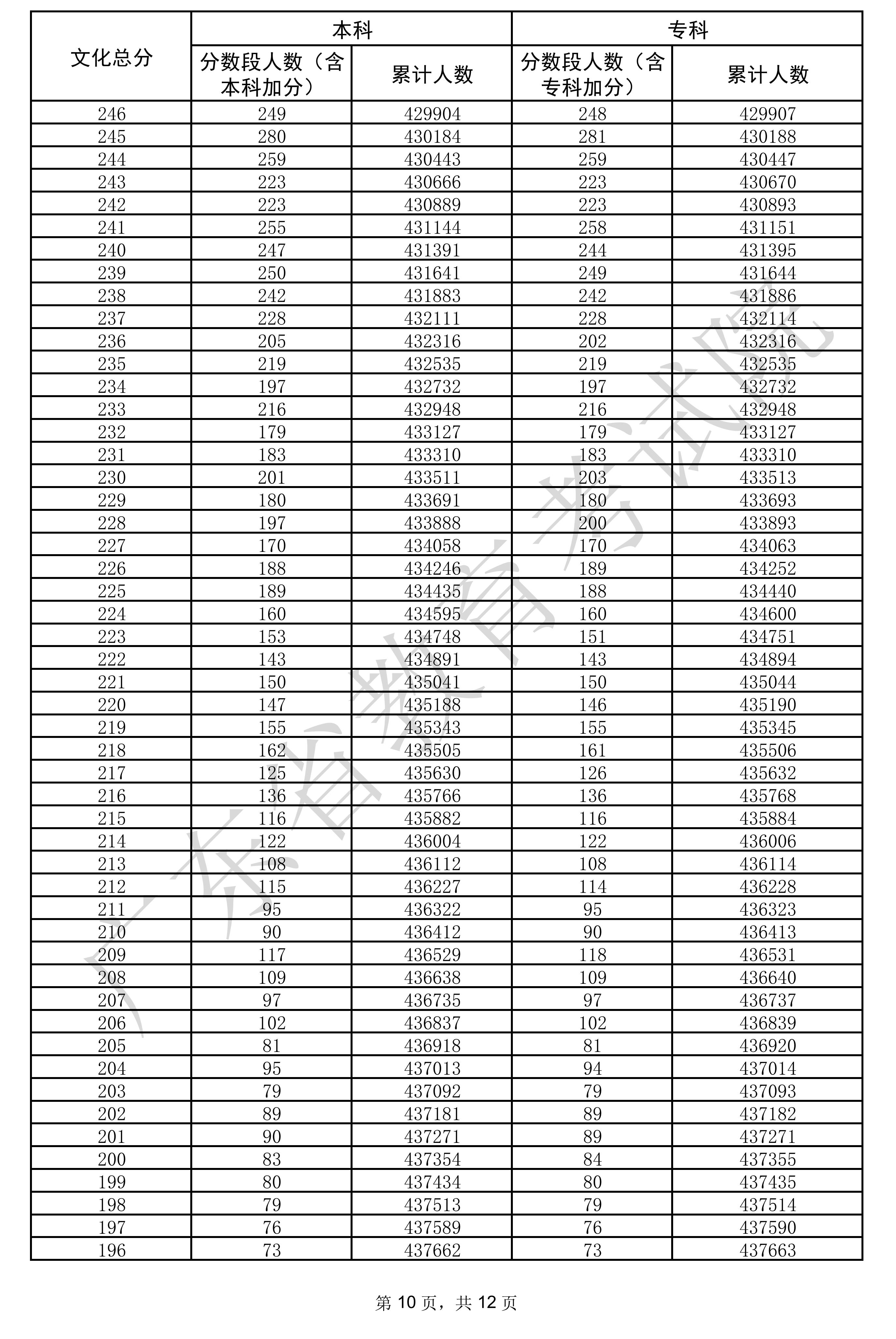
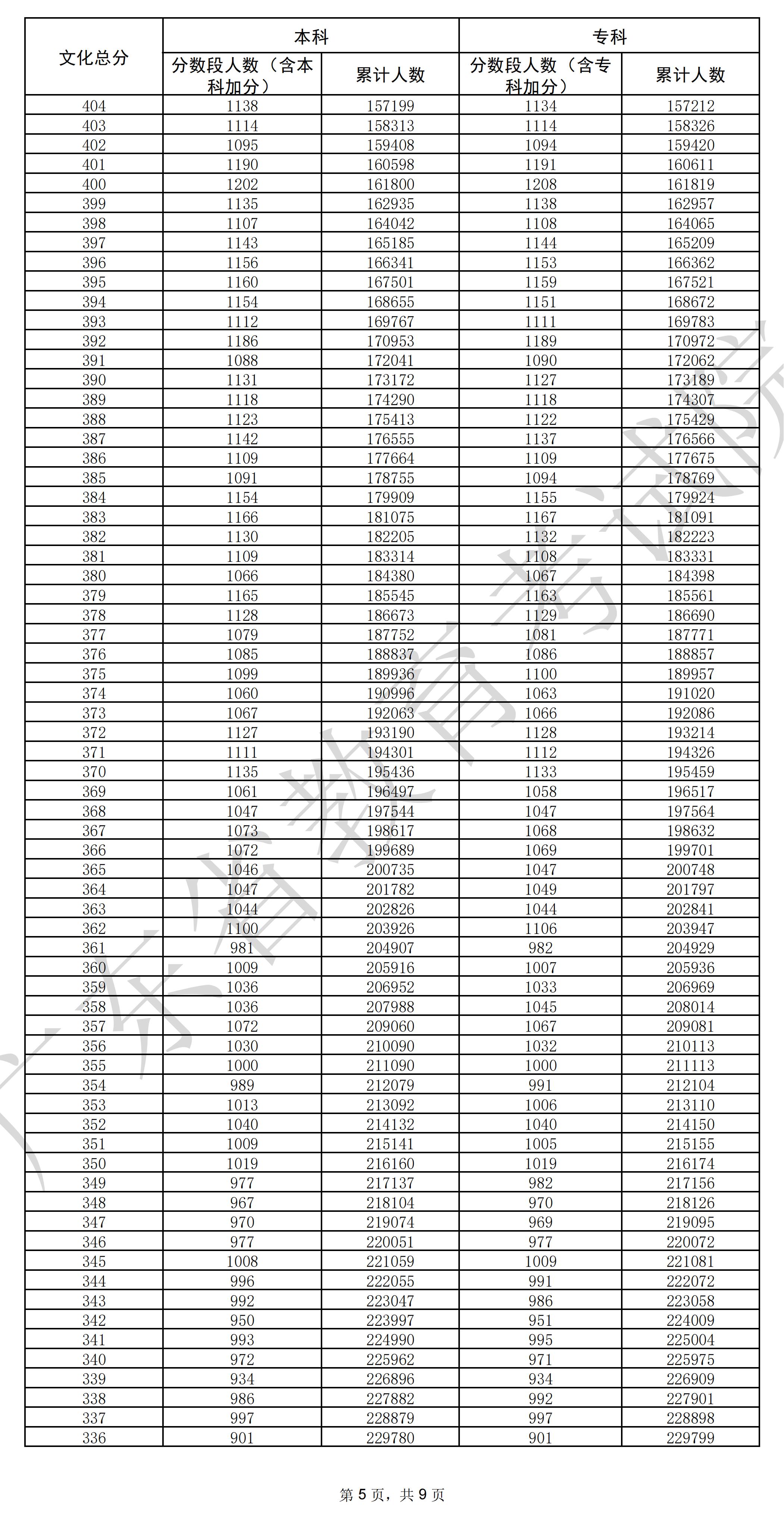
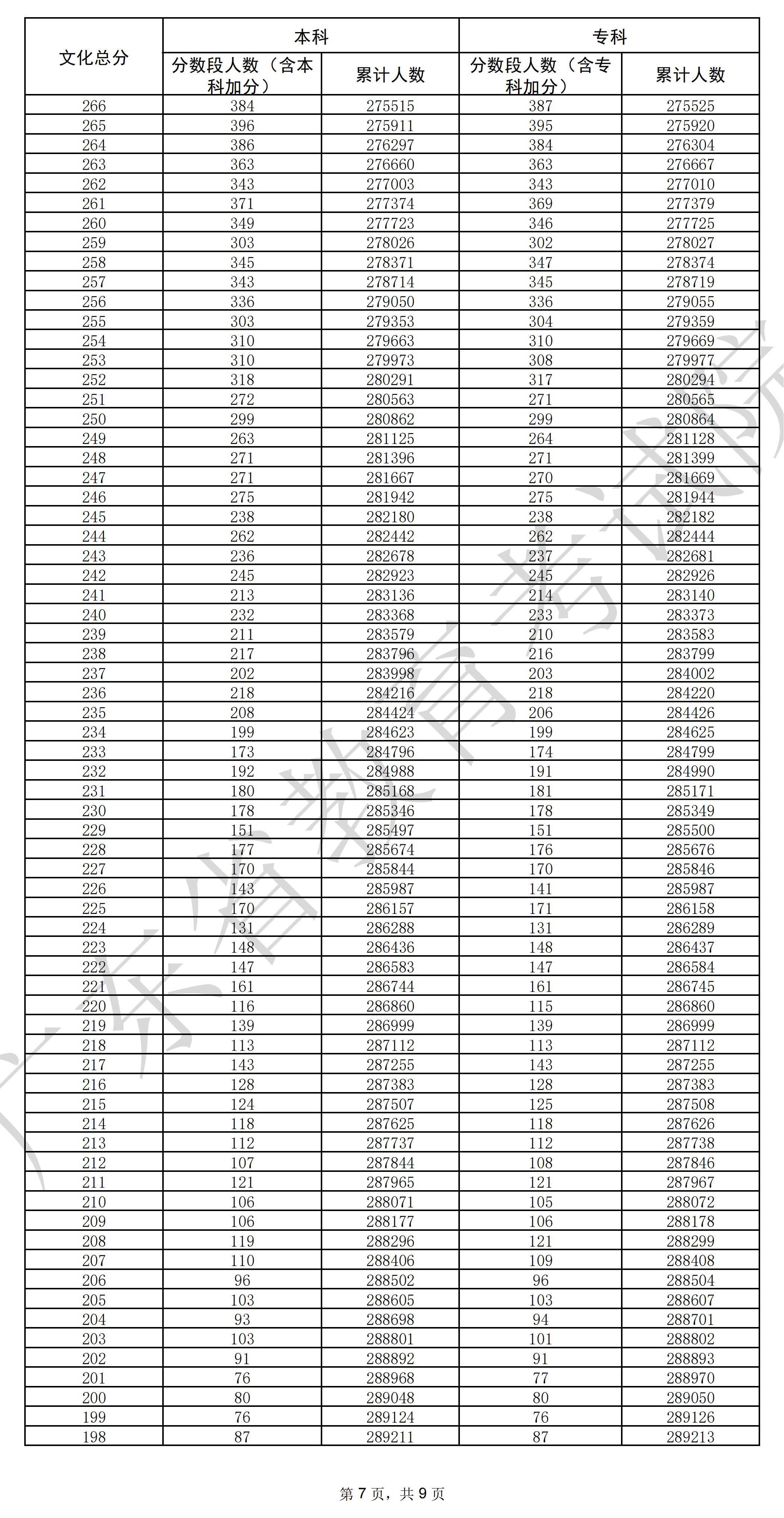
本文将系统梳理2025年广东物理类与历史类完整版一分一段表,结尾附上广东位次对应大学表,供大家参考。

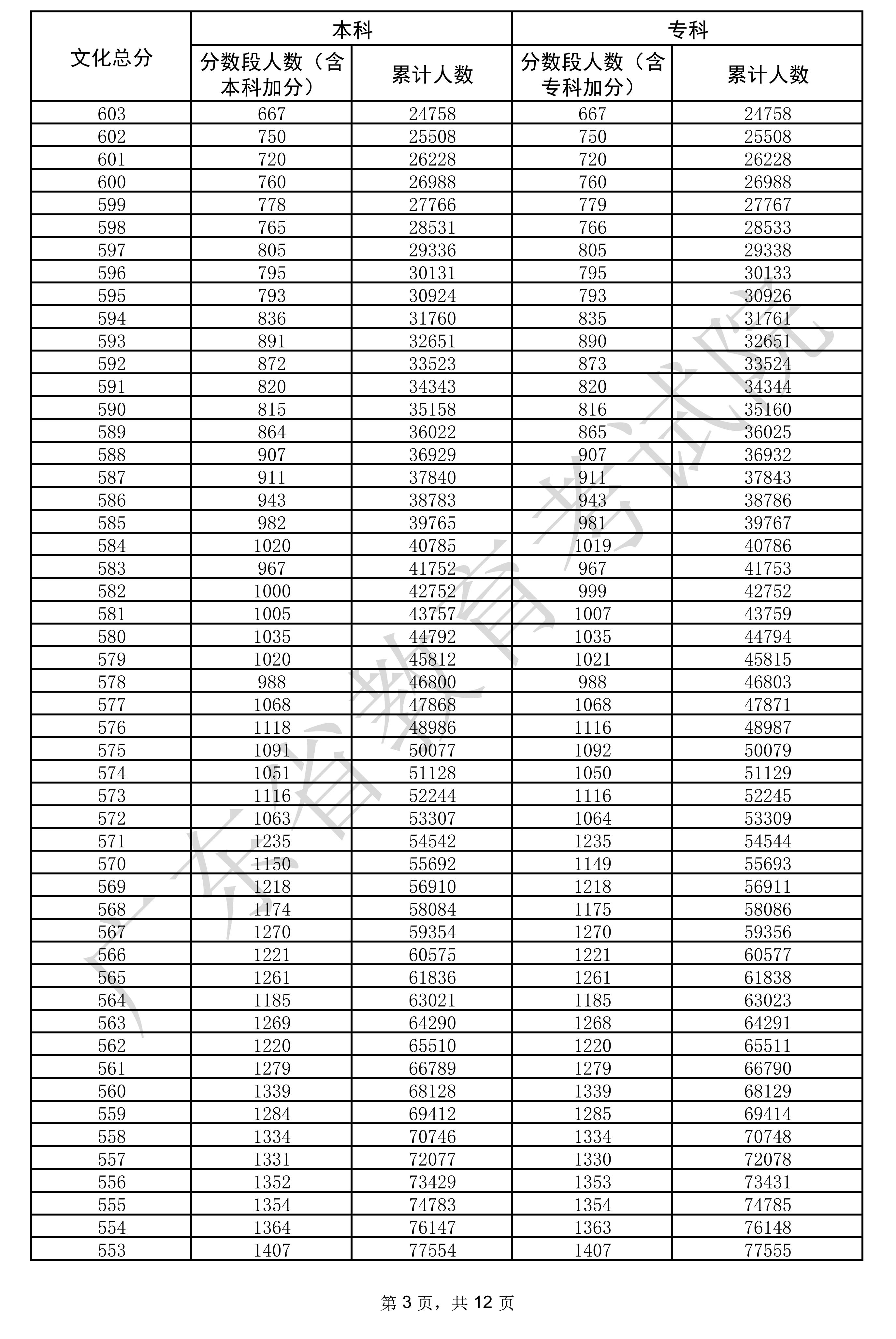
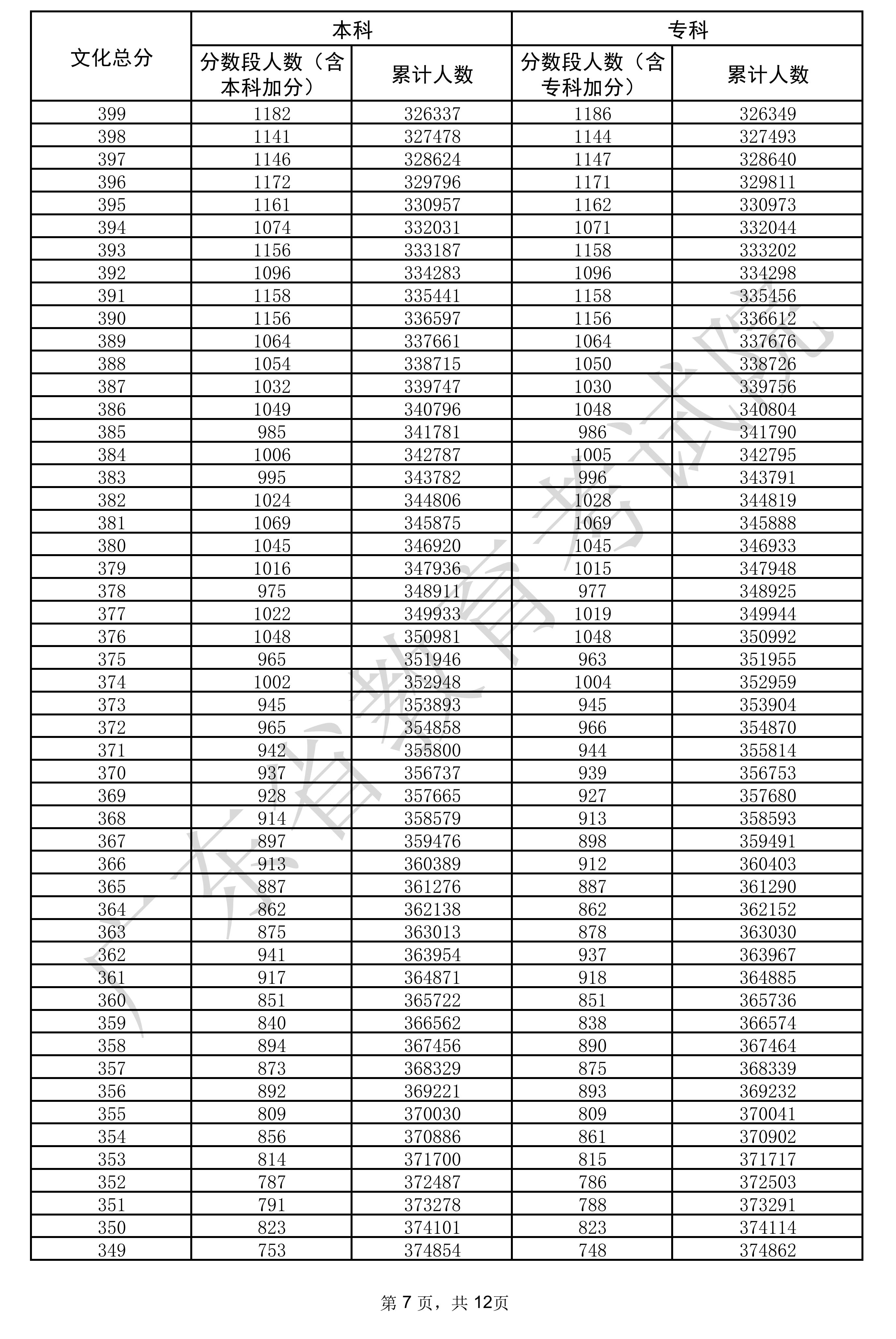
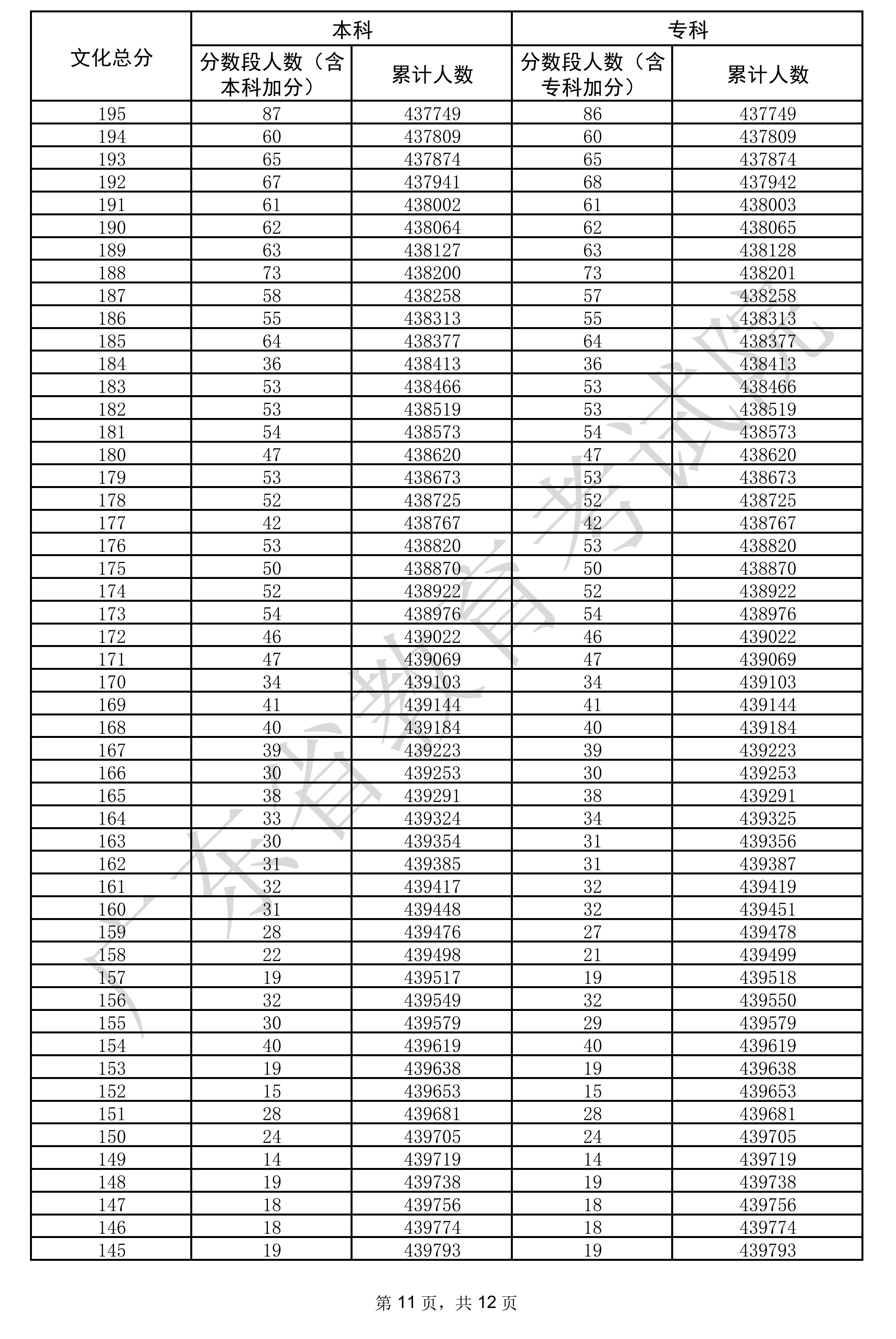
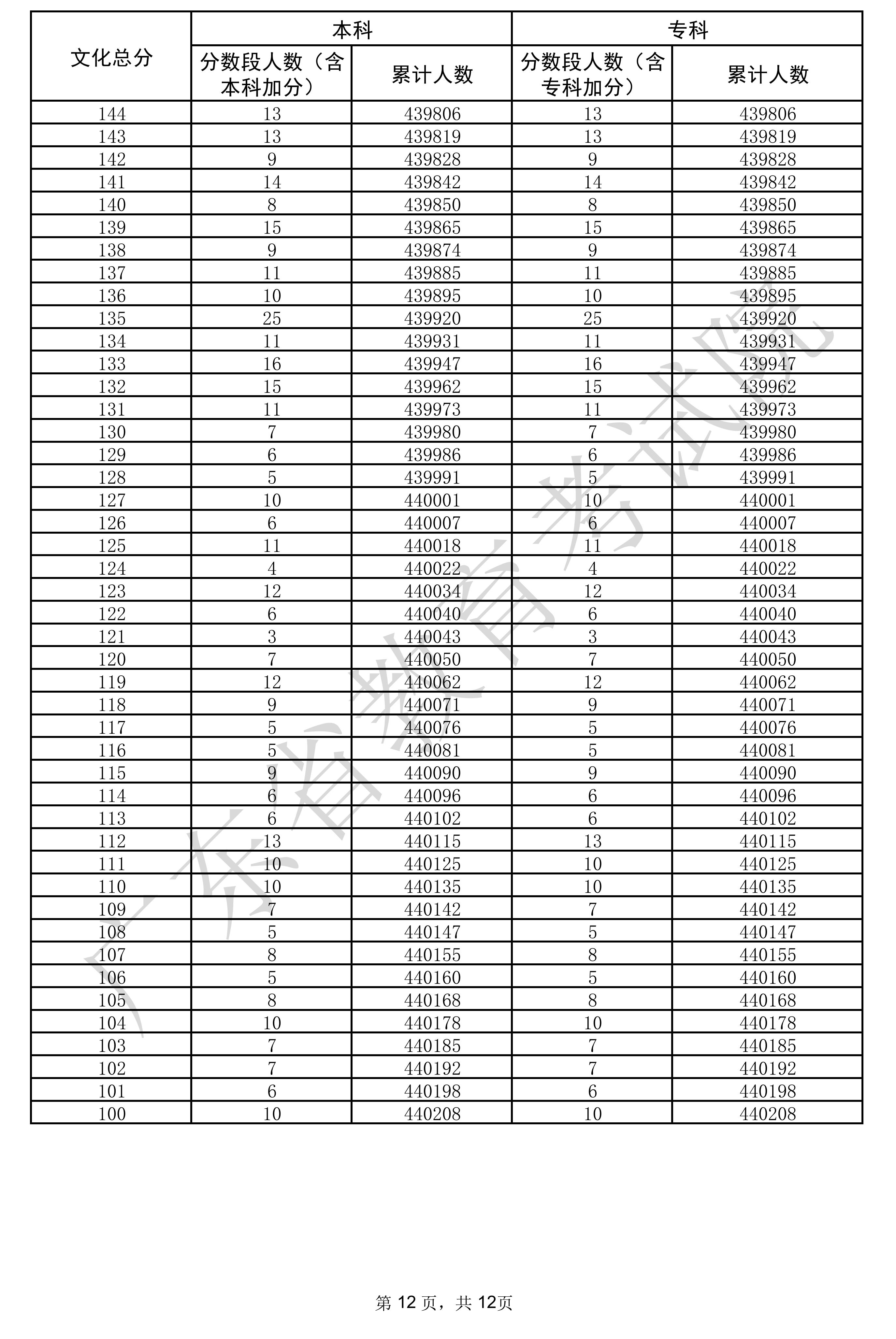
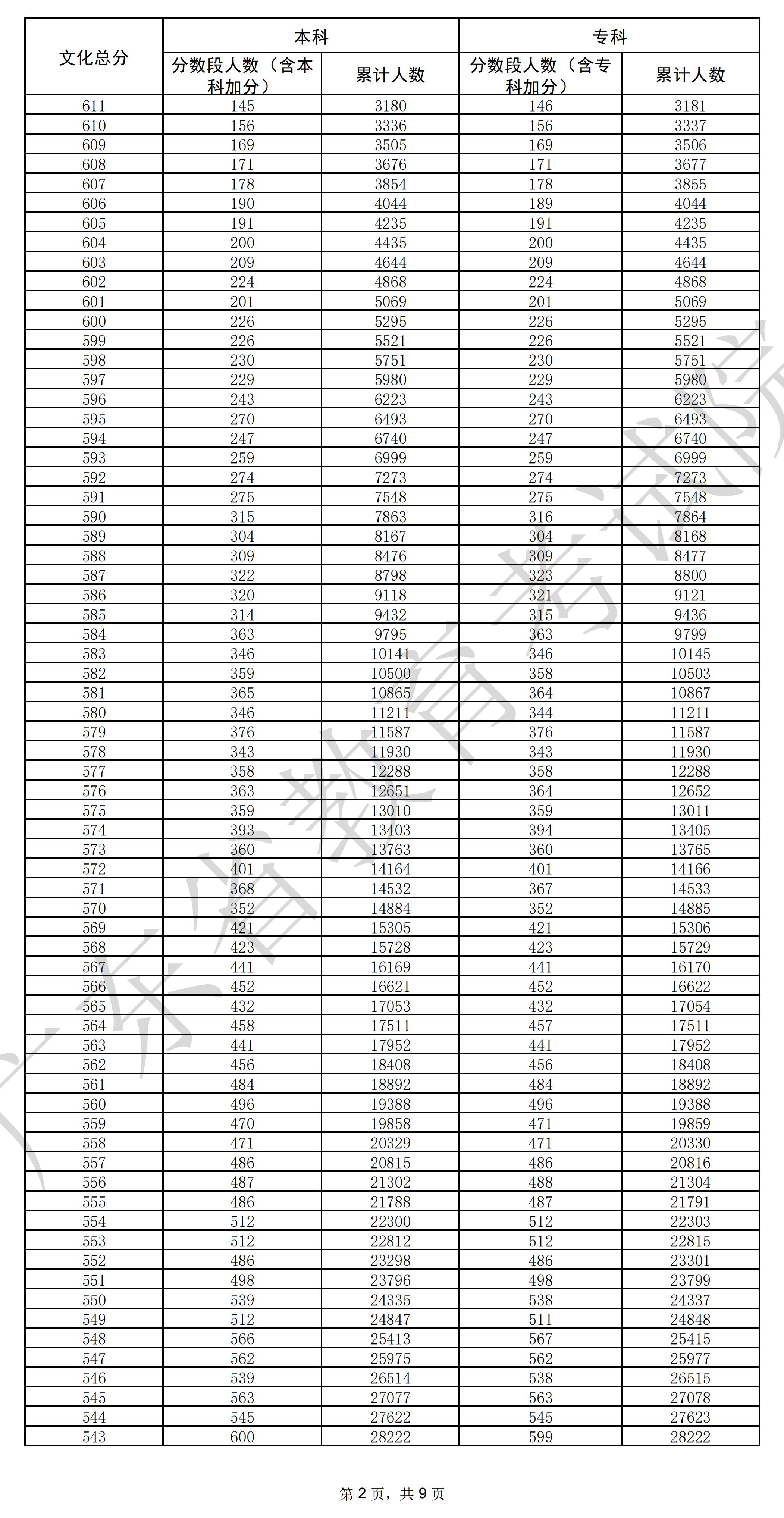
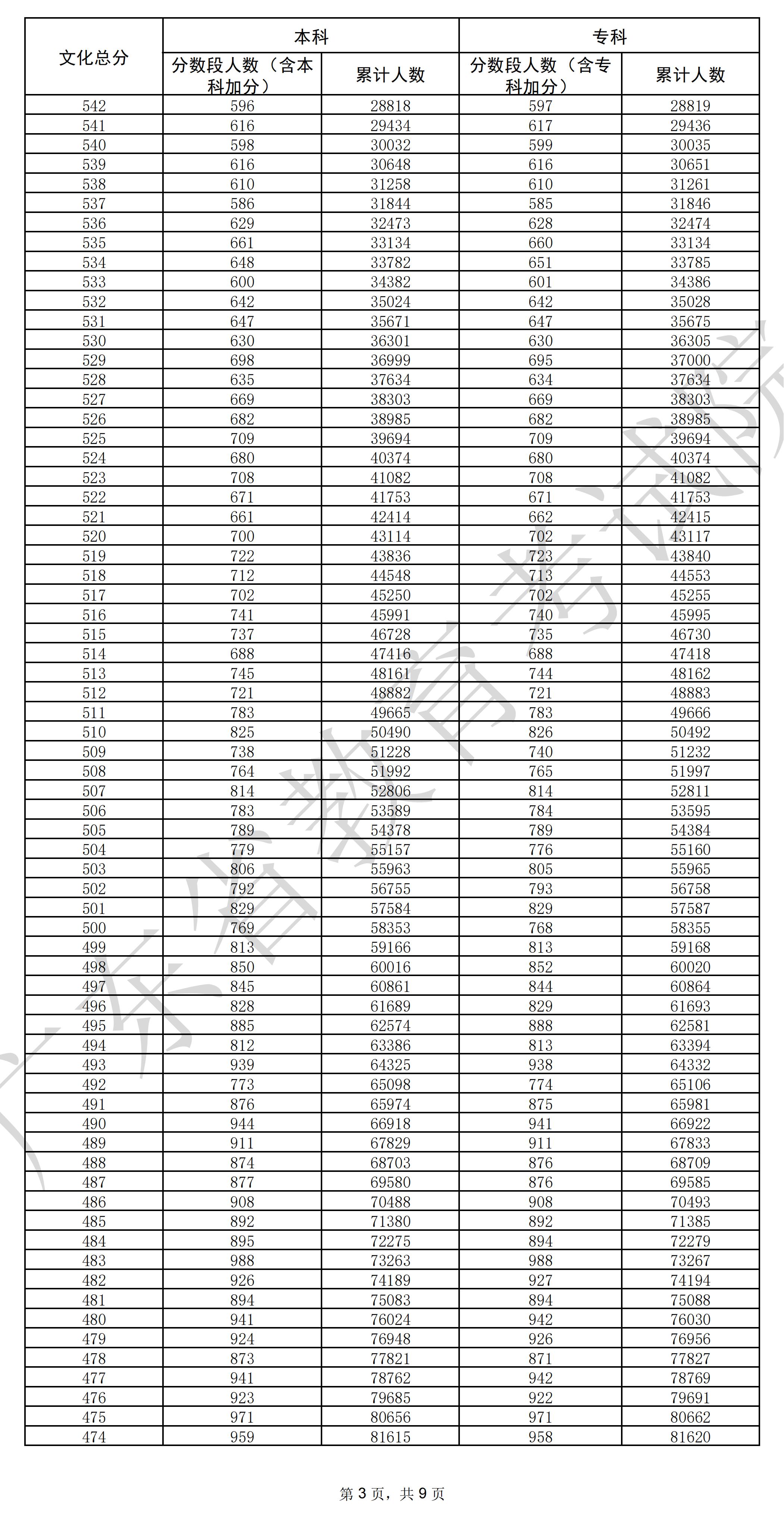
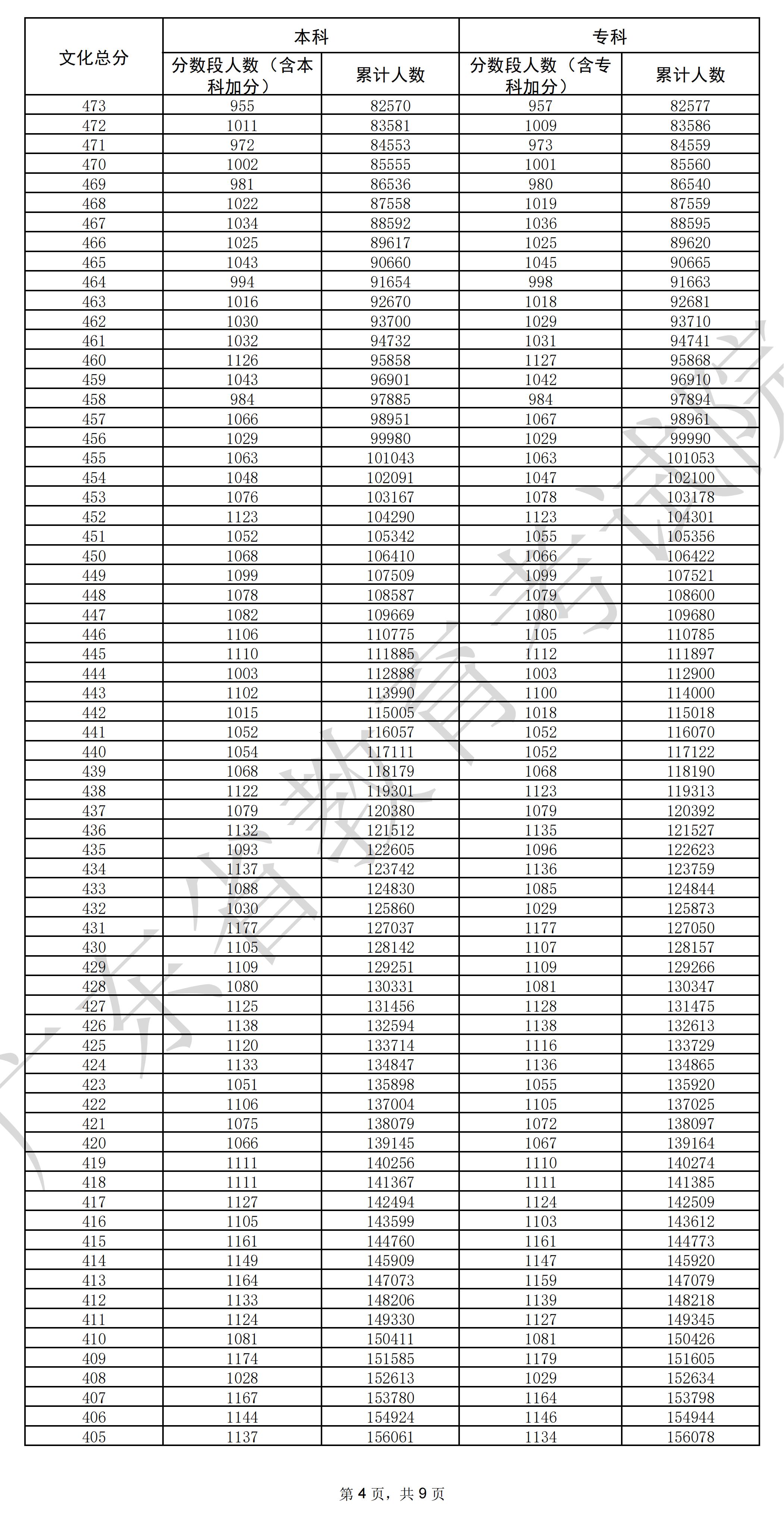
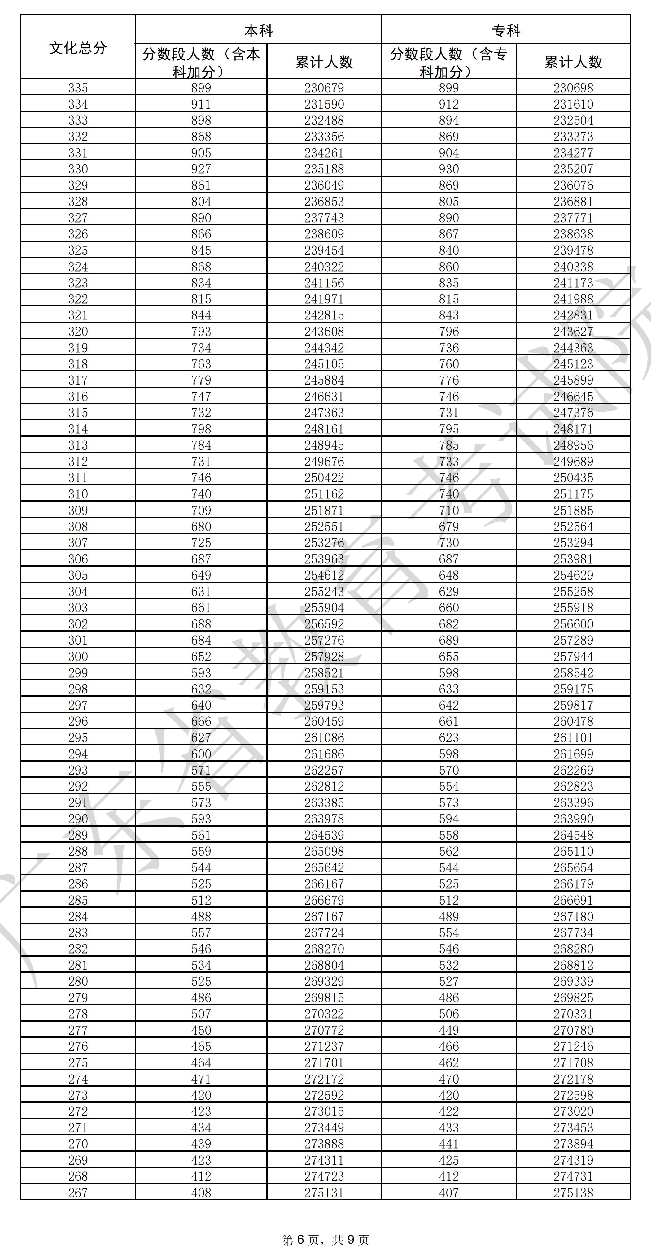
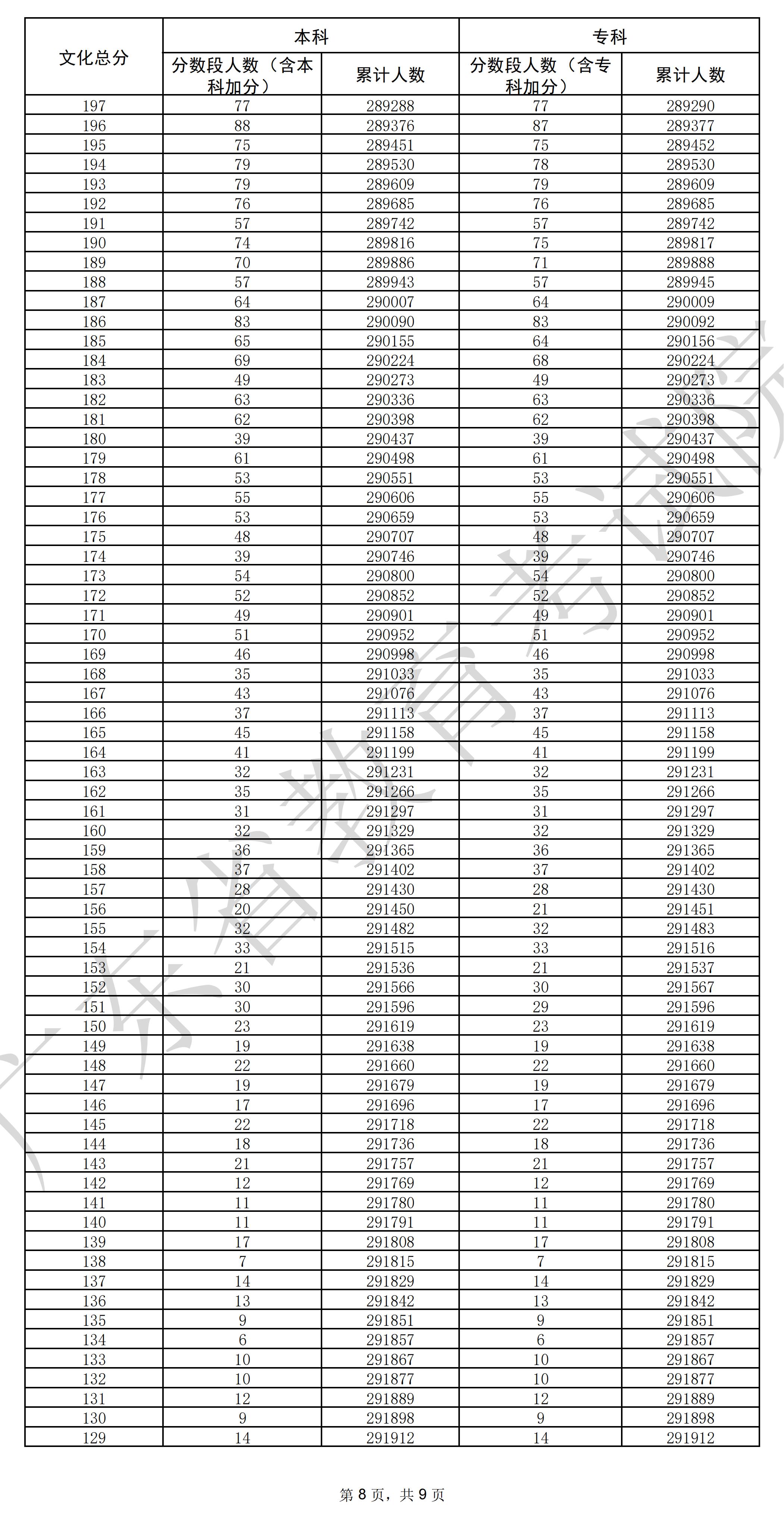
一、2025年广东一分一段表完整版
1、广东物理类一分一段表
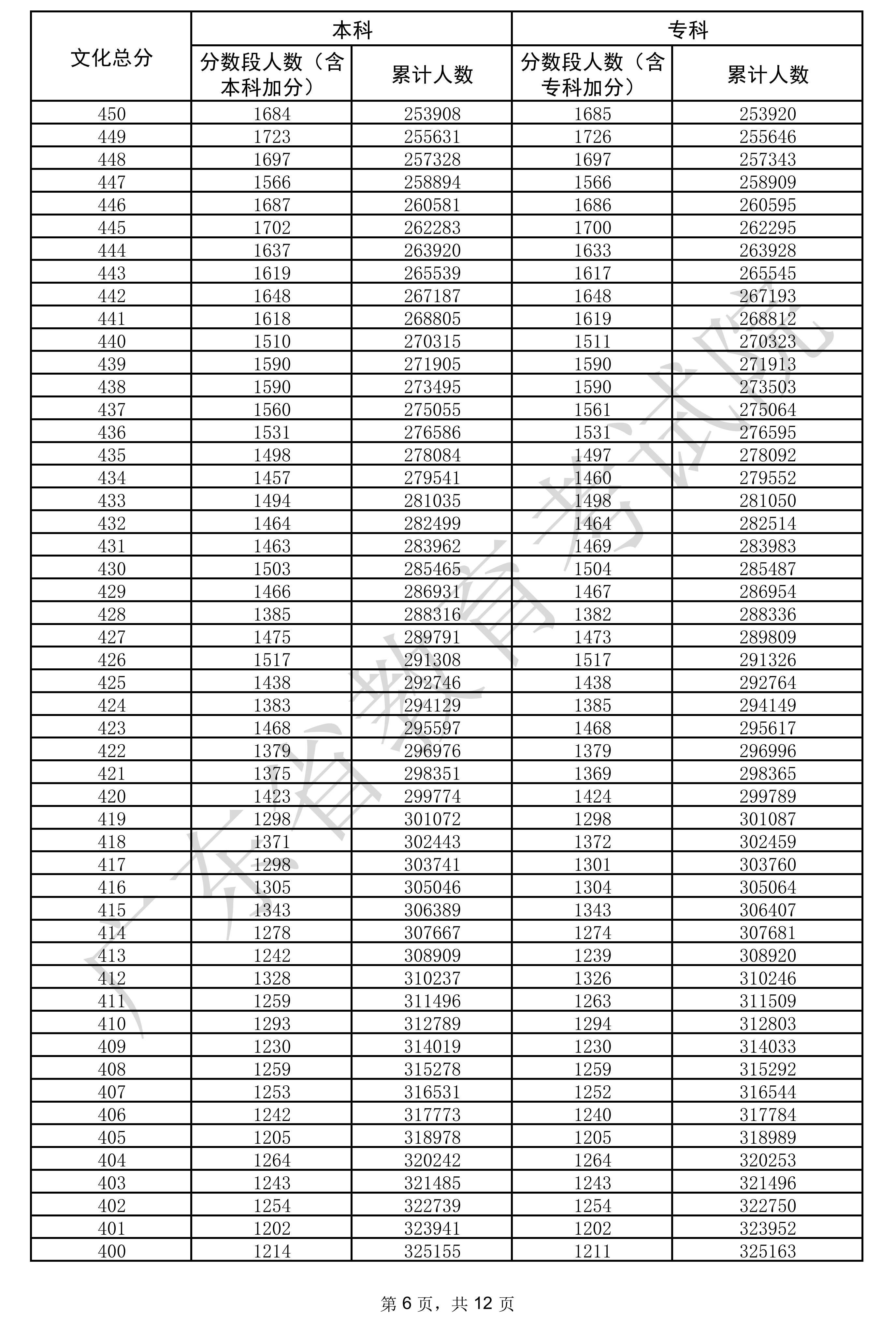
2025年广东物理类本科线436分,对应最低位次排名276586;特控线534分,对应最低位次排名106293;专科线200分,对应最低位次排名437354。
物理组680分对应最低位次排名377,650分对应最低位次排名3792,600分对应最低位次排名26988。
物理组580分对应最低位次排名44792,550分对应最低位次排名81695,500分对应最低位次排名165626。
物理组480分对应最低位次排名201802,450分对应最低位次排名253908,400分对应最低位次排名325155。
完整情况如下:












2、广东历史类一分一段表
2025年广东历史类本科线464分,对应最低位次排名91654;特控线557分,对应最低位次排名20815;专科线215分,对应最低位次排名287507。
历史类650分对应最低位次排名219,620分对应最低位次排名2011,600分对应最低位次排名5295。
历史类580分对应最低位次排名11211,550分对应最低位次排名24335,500分对应最低位次排名58353。
历史类480分对应最低位次排名76024,450分对应最低位次排名106410,400分对应最低位次排名161800。
完整情况如下:









二、广东位次对应大学表
篇幅有限,参照广东2025年普通本科批次招录数据(不含单列),下文整理了广东省内大学在广东位次排名对应大学名单,供大家参考。
1、广东位次对应大学表(物理类)
位次排名3000左右对应大学有:南方科技大学201组(位次3232)、中山大学216组(位次3575)、南方医科大学201组(位次3606)等。
位次排名30000左右对应大学有:广东工业大学216组(位次29496)、华南师范大学233组(位次29320)、深圳大学234组(位次29352)等。
完整情况如下:
| 学校名 | 办学 性质 |
专业组 | 2025 分数 |
2025 位次 |
|---|---|---|---|---|
| 哈尔滨工业大学 (深圳) |
公办 | 203组 | 662 | 1730 |
| 南方科技大学 | 公办 | 201组 | 652 | 3232 |
| 中山大学 | 公办 | 216组 | 651 | 3575 |
| 南方医科大学 | 公办 | 201组 | 650 | 3606 |
| 中山大学 | 公办 | 215组 | 647 | 4264 |
| 中山大学 | 公办 | 214组 | 642 | 5517 |
| 华南理工大学 | 公办 | 212组 | 640 | 6278 |
| 中山大学 | 公办 | 217组 | 639 | 6467 |
| 中山大学 | 公办 | 218组 | 633 | 8536 |
| 广州医科大学 | 公办 | 201组 | 633 | 8669 |
| 中山大学 | 公办 | 212组 | 631 | 9390 |
| 中山大学 | 公办 | 213组 | 629 | 9936 |
| 深圳理工大学 | 公办 | 201组 | 629 | 10163 |
| 中山大学 | 公办 | 219组 | 628 | 10616 |
| 华南理工大学 | 公办 | 213组 | 627 | 10764 |
| 华南理工大学 | 公办 | 214组 | 625 | 11609 |
| 北京师范大学 (珠海校区) |
公办 | 210组 | 625 | 11765 |
| 深圳大学 | 公办 | 233组 | 625 | 11801 |
| 深圳大学 | 公办 | 230组 | 622 | 12952 |
| 华南理工大学 | 公办 | 215组 | 622 | 12953 |
| 华南理工大学 | 公办 | 216组 | 622 | 13222 |
| 大湾区大学 | 公办 | 201组 | 622 | 13266 |
| 北京师范大学 (珠海校区) |
公办 | 211组 | 621 | 13642 |
| 华南师范大学 | 公办 | 219组 | 621 | 13782 |
| 广州医科大学 | 公办 | 202组 | 620 | 14066 |
| 深圳大学 | 公办 | 223组 | 618 | 15345 |
| 深圳大学 | 公办 | 225组 | 616 | 16350 |
| 深圳大学 | 公办 | 226组 | 616 | 16448 |
| 深圳大学 | 公办 | 240组 | 615 | 16789 |
| 深圳大学 | 公办 | 241组 | 613 | 17973 |
| 暨南大学 | 公办 | 222组 | 613 | 17976 |
| 华南师范大学 | 公办 | 236组 | 612 | 18213 |
| 华南师范大学 | 公办 | 220组 | 612 | 18497 |
| 华南师范大学 | 公办 | 237组 | 611 | 18930 |
| 深圳大学 | 公办 | 229组 | 611 | 19333 |
| 华南师范大学 | 公办 | 221组 | 610 | 19563 |
| 华南师范大学 | 公办 | 227组 | 610 | 19847 |
| 深圳大学 | 公办 | 236组 | 609 | 20302 |
| 深圳大学 | 公办 | 221组 | 608 | 20755 |
| 华南师范大学 | 公办 | 226组 | 607 | 21387 |
| 华南师范大学 | 公办 | 222组 | 607 | 21426 |
| 华南师范大学 | 公办 | 224组 | 607 | 21575 |
| 深圳大学 | 公办 | 222组 | 607 | 21671 |
| 南方医科大学 | 公办 | 202组 | 604 | 23705 |
| 广州中医药大学 | 公办 | 201组 | 604 | 23715 |
| 广东工业大学 | 公办 | 206组 | 604 | 23808 |
| 暨南大学 | 公办 | 218组 | 603 | 24510 |
| 华南师范大学 | 公办 | 230组 | 603 | 24702 |
| 暨南大学 | 公办 | 217组 | 602 | 25334 |
| 深圳大学 | 公办 | 228组 | 602 | 25415 |
| 华南师范大学 | 公办 | 229组 | 601 | 25642 |
| 深圳大学 | 公办 | 235组 | 601 | 25768 |
| 深圳大学 | 公办 | 227组 | 601 | 26135 |
| 华南师范大学 | 公办 | 223组 | 601 | 26143 |
| 深圳大学 | 公办 | 239组 | 601 | 26161 |
| 华南师范大学 | 公办 | 238组 | 600 | 26280 |
| 深圳大学 | 公办 | 232组 | 600 | 26711 |
| 华南师范大学 | 公办 | 225组 | 600 | 26860 |
| 广东工业大学 | 公办 | 223组 | 600 | 26982 |
| 深圳大学 | 公办 | 238组 | 599 | 27400 |
| 暨南大学 | 公办 | 219组 | 599 | 27600 |
| 深圳大学 | 公办 | 237组 | 598 | 28278 |
| 汕头大学医学院 | 公办 | 211组 | 597 | 28631 |
| 暨南大学 | 公办 | 210组 | 597 | 28753 |
| 深圳大学 | 公办 | 231组 | 597 | 28923 |
| 华南师范大学 | 公办 | 233组 | 597 | 29320 |
| 深圳大学 | 公办 | 234组 | 596 | 29352 |
| 广东工业大学 | 公办 | 216组 | 596 | 29496 |
| 深圳大学 | 公办 | 224组 | 595 | 30258 |
| 暨南大学 | 公办 | 221组 | 595 | 30480 |
| 暨南大学 | 公办 | 220组 | 595 | 30809 |
| 暨南大学 | 公办 | 212组 | 595 | 30837 |
| 广东工业大学 | 公办 | 213组 | 594 | 30945 |
| 深圳大学 | 公办 | 242组 | 594 | 31703 |
| 暨南大学 | 公办 | 214组 | 593 | 32172 |
| 华南农业大学 | 公办 | 230组 | 593 | 32245 |
| 暨南大学 | 公办 | 213组 | 593 | 32443 |
| 暨南大学 | 公办 | 215组 | 593 | 32622 |
| 广东工业大学 | 公办 | 207组 | 592 | 33072 |
| 暨南大学 | 公办 | 211组 | 592 | 33210 |
| 南方医科大学 | 公办 | 203组 | 591 | 33919 |
| 暨南大学 | 公办 | 216组 | 591 | 34231 |
| 华南师范大学 | 公办 | 228组 | 591 | 34256 |
| 深圳职业技术大学 | 公办 | 201组 | 591 | 34343 |
| 华南师范大学 | 公办 | 240组 | 590 | 34360 |
| 深圳技术大学 | 公办 | 203组 | 590 | 34418 |
| 华南师范大学 | 公办 | 235组 | 590 | 34737 |
| 广东工业大学 | 公办 | 211组 | 590 | 34777 |
| 华南师范大学 (汕尾校区) |
公办 | 204组 | 589 | 35642 |
| 华南农业大学 | 公办 | 218组 | 589 | 35806 |
| 华南师范大学 | 公办 | 231组 | 588 | 36029 |
| 广东工业大学 | 公办 | 220组 | 588 | 36055 |
| 华南师范大学 | 公办 | 232组 | 587 | 37621 |
| 华南师范大学 | 公办 | 234组 | 586 | 38261 |
| 华南农业大学 | 公办 | 219组 | 586 | 38309 |
| 华南师范大学 | 公办 | 239组 | 585 | 38927 |
| 广东工业大学 | 公办 | 210组 | 585 | 39361 |
| 深圳技术大学 | 公办 | 202组 | 584 | 40017 |
| 华南农业大学 | 公办 | 216组 | 583 | 41496 |
| 南方医科大学 | 公办 | 204组 | 582 | 42303 |
| 华南师范大学 (汕尾校区) |
公办 | 203组 | 580 | 44060 |
| 广东工业大学 | 公办 | 209组 | 580 | 44239 |
| 深圳技术大学 | 公办 | 201组 | 580 | 44470 |
| 广东工业大学 | 公办 | 208组 | 579 | 45115 |
| 广州大学 | 公办 | 204组 | 579 | 45324 |
| 南方医科大学 | 公办 | 206组 | 578 | 46350 |
| 华南师范大学 (汕尾校区) |
公办 | 205组 | 577 | 47047 |
| 华南农业大学 | 公办 | 217组 | 577 | 47222 |
| 广东工业大学 | 公办 | 231组 | 577 | 47617 |
| 广东工业大学 | 公办 | 225组 | 577 | 47667 |
| 广州大学 | 公办 | 201组 | 576 | 47996 |
| 广州中医药大学 | 公办 | 202组 | 575 | 49432 |
| 南方医科大学 | 公办 | 205组 | 575 | 49484 |
| 华南农业大学 | 公办 | 221组 | 575 | 49648 |
| 华南师范大学 (汕尾校区) |
公办 | 202组 | 574 | 50274 |
| 广州大学 | 公办 | 205组 | 574 | 50737 |
| 广东工业大学 | 公办 | 221组 | 574 | 50851 |
| 华南农业大学 | 公办 | 220组 | 574 | 50998 |
| 广东工业大学 (揭阳校区) |
公办 | 202组 | 573 | 51141 |
| 广东工业大学 | 公办 | 217组 | 573 | 51625 |
| 华南农业大学 | 公办 | 222组 | 573 | 51860 |
| 广东工业大学 | 公办 | 212组 | 573 | 52168 |
| 广州医科大学 | 公办 | 203组 | 572 | 52651 |
| 华南农业大学 | 公办 | 232组 | 572 | 52750 |
| 深圳职业技术大学 | 公办 | 202组 | 572 | 52888 |
| 华南农业大学 | 公办 | 231组 | 571 | 53856 |
| 广州大学 | 公办 | 209组 | 571 | 54481 |
| 广东工业大学 | 公办 | 226组 | 570 | 54622 |
| 广东外语外贸大学 | 公办 | 215组 | 570 | 54632 |
| 广州中医药大学 | 公办 | 203组 | 570 | 54788 |
| 华南农业大学 | 公办 | 233组 | 570 | 54979 |
| 汕头大学医学院 | 公办 | 212组 | 570 | 55583 |
| 华南农业大学 | 公办 | 223组 | 569 | 55825 |
| 广州大学 | 公办 | 203组 | 569 | 56115 |
| 广东工业大学 | 公办 | 222组 | 569 | 56296 |
| 广州中医药大学 | 公办 | 204组 | 569 | 56476 |
| 广州大学 | 公办 | 208组 | 569 | 56546 |
| 广东外语外贸大学 | 公办 | 210组 | 568 | 57705 |
| 广州大学 | 公办 | 215组 | 567 | 58550 |
| 华南农业大学 | 公办 | 211组 | 567 | 59001 |
| 华南农业大学 | 公办 | 210组 | 566 | 59597 |
| 广东工业大学 | 公办 | 214组 | 566 | 59722 |
| 深圳职业技术大学 | 公办 | 203组 | 566 | 59726 |
| 广州大学 | 公办 | 202组 | 566 | 59770 |
| 华南农业大学 | 公办 | 214组 | 566 | 59846 |
| 广州大学 | 公办 | 211组 | 566 | 59857 |
| 华南农业大学 | 公办 | 215组 | 566 | 60375 |
| 深圳信息职业技术大学 | 公办 | 201组 | 566 | 60409 |
| 广东财经大学 | 公办 | 206组 | 565 | 60677 |
| 广东外语外贸大学 | 公办 | 216组 | 565 | 61493 |
| 华南农业大学 | 公办 | 213组 | 565 | 61613 |
| 广东外语外贸大学 | 公办 | 214组 | 565 | 61705 |
| 广东工业大学 | 公办 | 218组 | 564 | 62109 |
| 广东工业大学 | 公办 | 232组 | 564 | 62452 |
| 广东外语外贸大学 | 公办 | 213组 | 564 | 62976 |
| 佛山大学 | 公办 | 208组 | 563 | 63250 |
| 广东外语外贸大学 | 公办 | 211组 | 563 | 63316 |
| 东莞理工学院 | 公办 | 201组 | 563 | 63807 |
| 广州大学 | 公办 | 210组 | 563 | 63839 |
| 广东外语外贸大学 | 公办 | 212组 | 562 | 64419 |
| 广东工业大学 | 公办 | 227组 | 562 | 64594 |
| 广东工业大学 | 公办 | 215组 | 562 | 64922 |
| 佛山大学 | 公办 | 214组 | 562 | 65419 |
| 广东外语外贸大学 | 公办 | 209组 | 561 | 66612 |
| 广东工业大学 | 公办 | 233组 | 560 | 66889 |
| 广东技术师范大学 | 公办 | 202组 | 560 | 66914 |
| 广州大学 | 公办 | 213组 | 560 | 67914 |
| 佛山大学 | 公办 | 201组 | 560 | 67916 |
| 广州大学 | 公办 | 212组 | 559 | 68590 |
| 广东工业大学 | 公办 | 228组 | 559 | 69261 |
| 汕头大学 | 公办 | 205组 | 559 | 69279 |
| 广州大学 | 公办 | 207组 | 558 | 69482 |
| 广州医科大学 | 公办 | 204组 | 558 | 69922 |
| 广州大学 | 公办 | 206组 | 557 | 71501 |
| 广东财经大学 | 公办 | 211组 | 556 | 72264 |
| 汕头大学 | 公办 | 206组 | 555 | 73663 |
| 广州大学 | 公办 | 214组 | 555 | 74228 |
| 汕头大学 | 公办 | 203组 | 554 | 75184 |
| 广东技术师范大学 | 公办 | 204组 | 553 | 77060 |
| 广州中医药大学 | 公办 | 206组 | 552 | 77858 |
| 广州中医药大学 | 公办 | 208组 | 552 | 78244 |
| 汕头大学 | 公办 | 204组 | 552 | 78313 |
| 广东药科大学 | 公办 | 201组 | 552 | 78347 |
| 汕头大学医学院 | 公办 | 214组 | 552 | 78487 |
| 广东技术师范大学 | 公办 | 203组 | 552 | 78639 |
| 广州中医药大学 | 公办 | 205组 | 552 | 78713 |
| 佛山大学 | 公办 | 212组 | 551 | 79200 |
| 佛山大学 | 公办 | 203组 | 551 | 79242 |
| 广东财经大学 | 公办 | 210组 | 551 | 80003 |
| 广州中医药大学 | 公办 | 207组 | 550 | 80400 |
| 广东技术师范大学 | 公办 | 201组 | 550 | 80470 |
| 东莞理工学院 | 公办 | 215组 | 550 | 80517 |
| 东莞理工学院 | 公办 | 202组 | 550 | 80557 |
| 佛山大学 | 公办 | 202组 | 550 | 80916 |
| 广东医科大学 | 公办 | 207组 | 550 | 81400 |
| 佛山大学 | 公办 | 207组 | 550 | 81498 |
| 广东财经大学 | 公办 | 208组 | 549 | 81883 |
| 广东药科大学 | 公办 | 207组 | 549 | 82980 |
| 广东海洋大学 | 公办 | 209组 | 548 | 83881 |
| 广东财经大学 | 公办 | 202组 | 548 | 84422 |
| 佛山大学 | 公办 | 206组 | 547 | 84615 |
| 广东海洋大学 | 公办 | 224组 | 547 | 85706 |
| 广东技术师范大学 | 公办 | 216组 | 546 | 86381 |
| 广东技术师范大学 | 公办 | 208组 | 546 | 87086 |
| 广东技术师范大学 | 公办 | 210组 | 546 | 87285 |
| 广东技术师范大学 | 公办 | 206组 | 546 | 87636 |
| 广东警官学院 | 公办 | 201组 | 545 | 88040 |
| 广东第二师范学院 | 公办 | 205组 | 545 | 88803 |
| 佛山大学 | 公办 | 211组 | 545 | 88989 |
| 佛山大学 | 公办 | 205组 | 544 | 89495 |
| 广东财经大学 | 公办 | 204组 | 544 | 89870 |
| 广东财经大学 | 公办 | 213组 | 543 | 90887 |
| 惠州学院 | 公办 | 226组 | 543 | 91006 |
| 广东技术师范大学 | 公办 | 207组 | 543 | 91405 |
| 佛山大学 | 公办 | 204组 | 543 | 91968 |
| 广东技术师范大学 | 公办 | 211组 | 542 | 92374 |
| 星海音乐学院 | 公办 | 202组 | 542 | 92498 |
| 广东技术师范大学 | 公办 | 217组 | 542 | 92717 |
| 广东技术师范大学 | 公办 | 212组 | 542 | 92796 |
| 佛山大学 | 公办 | 209组 | 542 | 93053 |
| 广东医科大学 | 公办 | 201组 | 542 | 93155 |
| 佛山大学 | 公办 | 213组 | 542 | 93604 |
| 广东技术师范大学 | 公办 | 222组 | 542 | 93613 |
| 广东第二师范学院 | 公办 | 209组 | 541 | 94154 |
| 汕头大学医学院 | 公办 | 213组 | 541 | 94439 |
| 广东技术师范大学 | 公办 | 218组 | 541 | 94915 |
| 广东医科大学 | 公办 | 206组 | 541 | 94995 |
| 东莞理工学院 | 公办 | 204组 | 540 | 95980 |
| 广东技术师范大学 | 公办 | 214组 | 540 | 96413 |
| 广东金融学院 | 公办 | 223组 | 540 | 96562 |
| 广东海洋大学 | 公办 | 212组 | 539 | 97805 |
| 广东海洋大学 | 公办 | 210组 | 539 | 98067 |
| 惠州学院 | 公办 | 220组 | 539 | 98204 |
| 广东轻工职业技术大学 | 公办 | 202组 | 539 | 98226 |
| 广东技术师范大学 | 公办 | 209组 | 538 | 99707 |
| 广东海洋大学 | 公办 | 225组 | 537 | 100174 |
| 五邑大学 | 公办 | 207组 | 537 | 100217 |
| 广东轻工职业技术大学 | 公办 | 203组 | 537 | 100700 |
| 广州职业技术大学 | 公办 | 203组 | 537 | 101005 |
| 嘉应学院 | 公办 | 208组 | 537 | 101254 |
| 广东第二师范学院 | 公办 | 207组 | 536 | 101899 |
| 东莞理工学院 | 公办 | 203组 | 536 | 102979 |
| 韶关学院 | 公办 | 226组 | 535 | 103733 |
| 惠州学院 | 公办 | 227组 | 535 | 103878 |
| 广东技术师范大学 | 公办 | 221组 | 534 | 104829 |
| 广东第二师范学院 | 公办 | 206组 | 534 | 104847 |
| 惠州学院 | 公办 | 225组 | 534 | 105551 |
| 广东第二师范学院 | 公办 | 202组 | 534 | 105965 |
| 广东海洋大学 | 公办 | 226组 | 534 | 106191 |
| 广东海洋大学 | 公办 | 216组 | 533 | 106455 |
| 顺德职业技术大学 | 公办 | 203组 | 533 | 106831 |
| 广东药科大学 | 公办 | 215组 | 533 | 107247 |
| 广东技术师范大学 (河源校区) |
公办 | 201组 | 532 | 108576 |
| 广州美术学院 | 公办 | 214组 | 532 | 109158 |
| 广东海洋大学 | 公办 | 214组 | 532 | 109444 |
| 广东技术师范大学 | 公办 | 220组 | 531 | 109824 |
| 广东技术师范大学 (河源校区) |
公办 | 202组 | 531 | 110200 |
| 广东技术师范大学 | 公办 | 219组 | 531 | 110307 |
| 五邑大学 | 公办 | 209组 | 531 | 111099 |
| 肇庆医学院 | 公办 | 201组 | 530 | 111609 |
| 顺德职业技术大学 | 公办 | 201组 | 530 | 111625 |
| 广东技术师范大学 | 公办 | 213组 | 530 | 111731 |
| 广东金融学院 | 公办 | 221组 | 530 | 112345 |
| 岭南师范学院 | 公办 | 207组 | 530 | 112655 |
| 广东技术师范大学 | 公办 | 223组 | 529 | 113341 |
| 广东药科大学 | 公办 | 202组 | 529 | 113776 |
| 广东技术师范大学 | 公办 | 224组 | 529 | 113935 |
| 广东轻工 职业技术大学 |
公办 | 201组 | 529 | 114308 |
| 惠州学院 | 公办 | 237组 | 529 | 114597 |
| 广东轻工 职业技术大学 |
公办 | 204组 | 528 | 114684 |
| 广东金融学院 | 公办 | 224组 | 528 | 114856 |
| 惠州学院 | 公办 | 231组 | 528 | 115856 |
| 广东海洋大学 | 公办 | 207组 | 528 | 115975 |
| 惠州学院 | 公办 | 228组 | 528 | 116020 |
| 广东医科大学 | 公办 | 204组 | 528 | 116290 |
| 广东金融学院 | 公办 | 226组 | 527 | 117585 |
| 惠州学院 | 公办 | 229组 | 527 | 117937 |
| 五邑大学 | 公办 | 203组 | 526 | 118711 |
| 东莞理工学院 | 公办 | 205组 | 526 | 119185 |
| 广州职业技术大学 | 公办 | 202组 | 525 | 119744 |
| 惠州学院 | 公办 | 239组 | 525 | 121063 |
| 广东医科大学 | 公办 | 208组 | 524 | 121552 |
| 广东海洋大学 | 公办 | 218组 | 524 | 122266 |
| 广东海洋大学 | 公办 | 215组 | 524 | 122395 |
| 惠州学院 | 公办 | 235组 | 524 | 122882 |
| 肇庆学院 | 公办 | 228组 | 524 | 122894 |
| 惠州学院 | 公办 | 232组 | 523 | 123453 |
| 广东技术师范大学 | 公办 | 215组 | 523 | 123581 |
| 仲恺农业工程学院 | 公办 | 203组 | 523 | 123659 |
| 广东药科大学 | 公办 | 205组 | 523 | 124067 |
| 广州体育学院 | 公办 | 203组 | 523 | 124073 |
| 广东海洋大学 | 公办 | 204组 | 523 | 124513 |
| 广东金融学院 | 公办 | 227组 | 522 | 124928 |
| 广东海洋大学 | 公办 | 211组 | 522 | 124972 |
| 广东药科大学 | 公办 | 203组 | 522 | 125418 |
| 广州美术学院 | 公办 | 213组 | 522 | 125758 |
| 广东第二师范学院 | 公办 | 203组 | 522 | 125871 |
| 广东医科大学 | 公办 | 203组 | 521 | 126986 |
| 惠州学院 | 公办 | 221组 | 521 | 126989 |
| 五邑大学 | 公办 | 205组 | 521 | 127859 |
| 仲恺农业工程学院 | 公办 | 205组 | 521 | 128130 |
| 惠州学院 | 公办 | 236组 | 520 | 128604 |
| 广州职业技术大学 | 公办 | 204组 | 520 | 128615 |
| 惠州学院 | 公办 | 241组 | 520 | 129705 |
| 肇庆学院 | 公办 | 218组 | 520 | 129941 |
| 广东第二师范学院 | 公办 | 208组 | 519 | 130274 |
| 广东海洋大学 | 公办 | 208组 | 519 | 130543 |
| 五邑大学 | 公办 | 204组 | 519 | 131453 |
| 韩山师范学院 | 公办 | 213组 | 519 | 131752 |
| 广东金融学院 | 公办 | 222组 | 519 | 131754 |
| 广州航海学院 | 公办 | 201组 | 518 | 131794 |
| 广东海洋大学 | 公办 | 222组 | 518 | 132131 |
| 广东医科大学 | 公办 | 205组 | 518 | 132304 |
| 广州体育学院 | 公办 | 202组 | 518 | 132399 |
| 广东第二师范学院 | 公办 | 210组 | 518 | 132601 |
| 广东第二师范学院 | 公办 | 201组 | 518 | 132810 |
| 仲恺农业工程学院 | 公办 | 202组 | 518 | 132909 |
| 惠州学院 | 公办 | 233组 | 518 | 133288 |
| 五邑大学 | 公办 | 208组 | 518 | 133378 |
| 嘉应学院 | 公办 | 210组 | 517 | 133844 |
| 岭南师范学院 | 公办 | 222组 | 517 | 134918 |
| 韶关学院 | 公办 | 236组 | 517 | 134927 |
| 广东医科大学 | 公办 | 202组 | 516 | 135309 |
| 岭南师范学院 | 公办 | 208组 | 516 | 135590 |
| 广东海洋大学 | 公办 | 223组 | 516 | 135999 |
| 广东金融学院 | 公办 | 225组 | 516 | 136349 |
| 广东海洋大学 | 公办 | 201组 | 516 | 136386 |
| 岭南师范学院 | 公办 | 217组 | 516 | 136489 |
| 韶关学院 | 公办 | 242组 | 516 | 136630 |
| 肇庆学院 | 公办 | 221组 | 516 | 136866 |
| 广东第二师范学院 | 公办 | 215组 | 515 | 137587 |
| 广州航海学院 | 公办 | 202组 | 515 | 137672 |
| 广东第二师范学院 | 公办 | 204组 | 515 | 137924 |
| 仲恺农业工程学院 | 公办 | 204组 | 515 | 138007 |
| 肇庆学院 | 公办 | 215组 | 515 | 138088 |
| 广州航海学院 | 公办 | 203组 | 515 | 138349 |
| 广东海洋大学 | 公办 | 227组 | 515 | 138593 |
| 肇庆学院 | 公办 | 222组 | 514 | 139162 |
| 韶关学院 | 公办 | 235组 | 514 | 139437 |
| 广东海洋大学 | 公办 | 203组 | 513 | 140465 |
| 肇庆学院 | 公办 | 219组 | 513 | 141105 |
| 嘉应学院 | 公办 | 213组 | 513 | 141481 |
| 韶关学院 | 公办 | 251组 | 513 | 141878 |
| 广东石油化工学院 | 公办 | 206组 | 513 | 142049 |
| 肇庆学院 | 公办 | 224组 | 512 | 142499 |
| 广东海洋大学 | 公办 | 206组 | 512 | 142753 |
| 广东石油化工学院 | 公办 | 207组 | 512 | 143828 |
| 韩山师范学院 | 公办 | 214组 | 511 | 144015 |
| 惠州学院 | 公办 | 240组 | 511 | 145297 |
| 惠州学院 | 公办 | 224组 | 510 | 145802 |
| 广东石油化工学院 | 公办 | 202组 | 510 | 146711 |
| 韶关学院 | 公办 | 245组 | 510 | 146893 |
| 惠州学院 | 公办 | 222组 | 509 | 148243 |
| 韶关学院 | 公办 | 237组 | 509 | 148712 |
| 广东海洋大学 | 公办 | 217组 | 509 | 148910 |
| 肇庆学院 | 公办 | 220组 | 508 | 149717 |
| 嘉应学院 | 公办 | 212组 | 508 | 150039 |
| 肇庆学院 | 公办 | 214组 | 508 | 150521 |
| 嘉应学院 | 公办 | 211组 | 508 | 150680 |
| 韶关学院 | 公办 | 223组 | 508 | 150748 |
| 广东海洋大学 | 公办 | 205组 | 508 | 151140 |
| 广东海洋大学 | 公办 | 202组 | 507 | 151480 |
| 五邑大学 | 公办 | 201组 | 507 | 151591 |
| 岭南师范学院 | 公办 | 212组 | 507 | 151711 |
| 广东药科大学 | 公办 | 208组 | 507 | 151774 |
| 广东石油化工学院 | 公办 | 201组 | 507 | 152005 |
| 惠州学院 | 公办 | 223组 | 507 | 152168 |
| 广东药科大学 | 公办 | 204组 | 507 | 152825 |
| 韶关学院 | 公办 | 231组 | 506 | 153104 |
| 岭南师范学院 | 公办 | 219组 | 506 | 153442 |
| 岭南师范学院 | 公办 | 211组 | 506 | 153675 |
| 韩山师范学院 | 公办 | 221组 | 506 | 153713 |
| 肇庆学院 | 公办 | 211组 | 506 | 153716 |
| 五邑大学 | 公办 | 206组 | 506 | 153867 |
| 惠州学院 | 公办 | 238组 | 506 | 154017 |
| 惠州学院 | 公办 | 230组 | 506 | 154631 |
| 韶关学院 | 公办 | 244组 | 505 | 154921 |
| 岭南师范学院 | 公办 | 214组 | 505 | 155610 |
| 韩山师范学院 | 公办 | 223组 | 505 | 155996 |
| 肇庆学院 | 公办 | 213组 | 504 | 157041 |
| 嘉应学院 | 公办 | 201组 | 504 | 157335 |
| 韶关学院 | 公办 | 227组 | 504 | 157479 |
| 韶关学院 | 公办 | 243组 | 504 | 157777 |
| 惠州学院 | 公办 | 234组 | 504 | 157922 |
| 广东石油化工学院 | 公办 | 203组 | 504 | 158327 |
| 广东石油化工学院 | 公办 | 205组 | 503 | 158413 |
| 韶关学院 | 公办 | 222组 | 503 | 158670 |
| 广东石油化工学院 | 公办 | 204组 | 503 | 158966 |
| 五邑大学 | 公办 | 202组 | 503 | 159190 |
| 嘉应学院 | 公办 | 203组 | 503 | 159582 |
| 韶关学院 | 公办 | 232组 | 503 | 160117 |
| 岭南师范学院 | 公办 | 221组 | 502 | 160879 |
| 韶关学院 | 公办 | 240组 | 502 | 161686 |
| 嘉应学院 | 公办 | 202组 | 502 | 161936 |
| 韩山师范学院 | 公办 | 228组 | 501 | 162036 |
| 肇庆学院 | 公办 | 227组 | 501 | 162066 |
| 岭南师范学院 | 公办 | 220组 | 501 | 162087 |
| 肇庆学院 | 公办 | 225组 | 501 | 162575 |
| 韩山师范学院 | 公办 | 216组 | 500 | 164110 |
| 岭南师范学院 | 公办 | 216组 | 500 | 164270 |
| 肇庆学院 | 公办 | 226组 | 500 | 164898 |
| 肇庆医学院 | 公办 | 203组 | 499 | 165670 |
| 韩山师范学院 | 公办 | 222组 | 499 | 165677 |
| 韶关学院 | 公办 | 224组 | 499 | 166090 |
| 嘉应学院 | 公办 | 204组 | 499 | 166328 |
| 嘉应学院 | 公办 | 215组 | 499 | 166526 |
| 韶关学院 | 公办 | 239组 | 499 | 166699 |
| 广东石油化工学院 | 公办 | 208组 | 499 | 166883 |
| 韩山师范学院 | 公办 | 218组 | 499 | 167031 |
| 岭南师范学院 | 公办 | 210组 | 499 | 167048 |
| 嘉应学院 | 公办 | 217组 | 499 | 167308 |
| 岭南师范学院 | 公办 | 209组 | 499 | 167413 |
| 肇庆学院 | 公办 | 217组 | 498 | 167654 |
| 韩山师范学院 | 公办 | 217组 | 498 | 167737 |
| 岭南师范学院 | 公办 | 213组 | 498 | 167911 |
| 韶关学院 | 公办 | 229组 | 498 | 167976 |
| 韶关学院 | 公办 | 230组 | 498 | 168314 |
| 韶关学院 | 公办 | 252组 | 498 | 168785 |
| 韶关学院 | 公办 | 233组 | 498 | 168884 |
| 韶关学院 | 公办 | 238组 | 498 | 168920 |
| 岭南师范学院 | 公办 | 215组 | 498 | 169024 |
| 嘉应学院 | 公办 | 205组 | 498 | 169080 |
| 韶关学院 | 公办 | 241组 | 498 | 169287 |
| 肇庆医学院 | 公办 | 202组 | 497 | 169391 |
| 嘉应学院 | 公办 | 219组 | 497 | 170002 |
| 韩山师范学院 | 公办 | 224组 | 497 | 170393 |
| 岭南师范学院 | 公办 | 218组 | 497 | 170600 |
| 韶关学院 | 公办 | 225组 | 497 | 170605 |
| 韩山师范学院 | 公办 | 215组 | 497 | 171044 |
| 珠海科技学院 | 民办 | 209组 | 497 | 171162 |
| 韩山师范学院 | 公办 | 219组 | 496 | 171559 |
| 嘉应学院 | 公办 | 207组 | 496 | 171975 |
| 嘉应学院 | 公办 | 206组 | 496 | 172176 |
| 嘉应学院 | 公办 | 218组 | 496 | 172341 |
| 韩山师范学院 | 公办 | 220组 | 496 | 172838 |
| 肇庆医学院 | 公办 | 204组 | 496 | 172953 |
| 嘉应学院 | 公办 | 214组 | 495 | 174604 |
| 韶关学院 | 公办 | 228组 | 494 | 175047 |
| 珠海科技学院 | 民办 | 210组 | 494 | 175332 |
| 珠海科技学院 | 民办 | 208组 | 494 | 175423 |
| 嘉应学院 | 公办 | 216组 | 494 | 175550 |
| 广州城市理工学院 | 民办 | 201组 | 494 | 176527 |
| 电子科技大学 中山学院 |
民办 | 204组 | 489 | 184090 |
| 电子科技大学 中山学院 |
民办 | 201组 | 487 | 188009 |
| 广州城市理工学院 | 民办 | 203组 | 487 | 188081 |
| 广州城市理工学院 | 民办 | 202组 | 487 | 188614 |
| 电子科技大学 中山学院 |
民办 | 202组 | 487 | 188704 |
| 广东东软学院 | 民办 | 204组 | 485 | 191679 |
| 电子科技大学 中山学院 |
民办 | 208组 | 485 | 192437 |
| 广州新华学院 | 民办 | 206组 | 483 | 194795 |
| 电子科技大学 中山学院 |
民办 | 203组 | 483 | 195130 |
| 广东东软学院 | 民办 | 203组 | 483 | 196110 |
| 广东东软学院 | 民办 | 201组 | 482 | 197553 |
| 广东东软学院 | 民办 | 214组 | 482 | 197730 |
| 电子科技大学 中山学院 |
民办 | 207组 | 481 | 198364 |
| 广州新华学院 | 民办 | 205组 | 481 | 199335 |
| 广东东软学院 | 民办 | 205组 | 480 | 200430 |
| 广东外语外贸大学 南国商学院 |
民办 | 221组 | 480 | 200551 |
| 广州南方学院 | 民办 | 210组 | 479 | 202472 |
| 广东东软学院 | 民办 | 206组 | 479 | 202666 |
| 广州新华学院 | 民办 | 204组 | 478 | 204871 |
| 广东东软学院 | 民办 | 202组 | 478 | 205356 |
| 广东白云学院 | 民办 | 208组 | 477 | 206914 |
| 华南农业大学珠江学院 | 民办 | 210组 | 475 | 209193 |
| 广东外语外贸大学 南国商学院 |
民办 | 224组 | 475 | 209609 |
| 广州软件学院 | 民办 | 212组 | 475 | 210005 |
| 广东东软学院 | 民办 | 213组 | 475 | 210146 |
| 广东外语外贸大学 南国商学院 |
民办 | 222组 | 475 | 210152 |
| 广东白云学院 | 民办 | 209组 | 474 | 212314 |
| 广东外语外贸大学 南国商学院 |
民办 | 226组 | 474 | 212539 |
| 广州南方学院 | 民办 | 209组 | 474 | 212582 |
| 广州南方学院 | 民办 | 207组 | 473 | 214018 |
| 广州软件学院 | 民办 | 201组 | 473 | 214365 |
| 广州软件学院 | 民办 | 202组 | 472 | 214574 |
| 广州新华学院 | 民办 | 203组 | 472 | 214736 |
| 广东东软学院 | 民办 | 212组 | 472 | 215068 |
| 华南农业大学 珠江学院 |
民办 | 209组 | 472 | 215973 |
| 广州应用科技学院 | 民办 | 215组 | 471 | 216301 |
| 广东外语外贸大学 南国商学院 |
民办 | 225组 | 471 | 217164 |
| 广东白云学院 | 民办 | 207组 | 470 | 218889 |
| 广东东软学院 | 民办 | 215组 | 470 | 219009 |
| 广东外语外贸大学 南国商学院 |
民办 | 223组 | 470 | 219021 |
| 广东白云学院 | 民办 | 204组 | 469 | 220573 |
| 广州南方学院 | 民办 | 208组 | 469 | 221524 |
| 广东东软学院 | 民办 | 207组 | 468 | 221810 |
| 广东白云学院 | 民办 | 201组 | 468 | 222256 |
| 广州软件学院 | 民办 | 213组 | 467 | 223548 |
| 华南农业大学 珠江学院 |
民办 | 206组 | 467 | 225026 |
| 广东白云学院 | 民办 | 203组 | 466 | 225555 |
| 广东白云学院 | 民办 | 217组 | 466 | 226728 |
| 广州软件学院 | 民办 | 215组 | 463 | 230736 |
| 广州南方学院 | 民办 | 211组 | 463 | 230851 |
| 广州商学院 | 民办 | 205组 | 463 | 230853 |
| 广东东软学院 | 民办 | 211组 | 463 | 231749 |
| 广东东软学院 | 民办 | 216组 | 462 | 232258 |
| 华南农业大学 珠江学院 |
民办 | 205组 | 462 | 232650 |
| 广州商学院 | 民办 | 204组 | 462 | 232927 |
| 广东东软学院 | 民办 | 209组 | 460 | 236468 |
| 广东白云学院 | 民办 | 212组 | 460 | 236808 |
| 广东东软学院 | 民办 | 210组 | 460 | 236889 |
| 广州应用科技学院 | 民办 | 216组 | 459 | 237613 |
| 广东培正学院 | 民办 | 203组 | 459 | 237799 |
| 广州商学院 | 民办 | 208组 | 458 | 240270 |
| 广东东软学院 | 民办 | 208组 | 457 | 242062 |
| 广东白云学院 | 民办 | 211组 | 456 | 242715 |
| 东莞城市学院 | 民办 | 214组 | 456 | 243743 |
| 广东白云学院 | 民办 | 210组 | 455 | 245339 |
| 广东东软学院 | 民办 | 217组 | 455 | 245639 |
| 广州软件学院 | 民办 | 214组 | 452 | 250313 |
| 广州理工学院 | 民办 | 202组 | 450 | 253100 |
| 广东科技学院 | 民办 | 206组 | 449 | 254929 |
| 广东白云学院 | 民办 | 206组 | 447 | 257936 |
| 广州软件学院 | 民办 | 203组 | 447 | 258240 |
| 广州理工学院 | 民办 | 201组 | 446 | 259886 |
| 东莞城市学院 | 民办 | 217组 | 445 | 261092 |
| 东莞城市学院 | 民办 | 218组 | 445 | 261312 |
| 广东白云学院 | 民办 | 205组 | 444 | 263134 |
| 广东科技学院 | 民办 | 211组 | 444 | 263887 |
| 广州华立学院 | 民办 | 201组 | 443 | 264467 |
| 东莞城市学院 | 民办 | 215组 | 440 | 269938 |
| 广州华立学院 | 民办 | 204组 | 439 | 270732 |
| 广州华商学院 | 民办 | 213组 | 439 | 271306 |
| 广州应用科技学院 | 民办 | 214组 | 438 | 272247 |
| 广州应用科技学院 | 民办 | 213组 | 438 | 272353 |
| 华南农业大学 珠江学院 |
民办 | 204组 | 438 | 273131 |
| 广东理工学院 | 民办 | 207组 | 437 | 273804 |
| 广州华商学院 | 民办 | 215组 | 437 | 274693 |
| 广东工商 职业技术大学 |
民办 | 210组 | 437 | 274743 |
| 广州工商学院 | 民办 | 215组 | 437 | 274784 |
| 广东理工学院 | 民办 | 205组 | 437 | 275027 |
| 广东工商 职业技术大学 |
民办 | 211组 | 436 | 275659 |
| 湛江科技学院 | 民办 | 203组 | 436 | 275816 |
| 广州工商学院 | 民办 | 221组 | 436 | 275896 |
| 广州华立学院 | 民办 | 206组 | 436 | 275914 |
| 广州软件学院 | 民办 | 204组 | 436 | 276031 |
| 广州工商学院 | 民办 | 220组 | 436 | 276050 |
| 广州工商学院 | 民办 | 213组 | 436 | 276071 |
| 广州应用科技学院 | 民办 | 218组 | 436 | 276160 |
| 广州科技 职业技术大学 |
民办 | 203组 | 436 | 276185 |
| 广东理工学院 | 民办 | 208组 | 436 | 276324 |
| 广州工商学院 | 民办 | 214组 | 436 | 276341 |
| 广州工商学院 | 民办 | 222组 | 436 | 276353 |
| 广州华商学院 | 民办 | 214组 | 436 | 276373 |
| 广州应用科技学院 | 民办 | 217组 | 436 | 276376 |
| 广东科技学院 | 民办 | 207组 | 436 | 276393 |
| 广州应用科技学院 | 民办 | 224组 | 436 | 276423 |
| 广州工商学院 | 民办 | 217组 | 436 | 276431 |
| 广州华立学院 | 民办 | 202组 | 436 | 276435 |
| 广州工商学院 | 民办 | 212组 | 436 | 276436 |
| 广州应用科技学院 | 民办 | 220组 | 436 | 276450 |
| 广东理工学院 | 民办 | 206组 | 436 | 276488 |
| 广东工商 职业技术大学 |
民办 | 209组 | 436 | 276489 |
| 湛江科技学院 | 民办 | 201组 | 436 | 276491 |
| 广州华立学院 | 民办 | 207组 | 436 | 276499 |
| 广东工商 职业技术大学 |
民办 | 202组 | 436 | 276500 |
| 东莞城市学院 | 民办 | 216组 | 436 | 276512 |
| 广州应用科技学院 | 民办 | 219组 | 436 | 276530 |
| 广州应用科技学院 | 民办 | 223组 | 436 | 276531 |
| 广州华商学院 | 民办 | 212组 | 436 | 276534 |
| 广州工商学院 | 民办 | 219组 | 436 | 276536 |
| 广东理工学院 | 民办 | 209组 | 436 | 276541 |
| 广东培正学院 | 民办 | 202组 | 436 | 276542 |
| 广东培正学院 | 民办 | 201组 | 436 | 276552 |
| 广东理工学院 | 民办 | 204组 | 436 | 276564 |
| 广州工商学院 | 民办 | 218组 | 436 | 276568 |
| 广东科技学院 | 民办 | 205组 | 436 | 276571 |
| 湛江科技学院 | 民办 | 202组 | 436 | 276574 |
| 广州华立学院 | 民办 | 205组 | 436 | 276575 |
| 广东工商 职业技术大学 |
民办 | 201组 | 436 | 276580 |
| 广州工商学院 | 民办 | 211组 | 436 | 276582 |
| 广州应用科技学院 | 民办 | 221组 | 436 | 276583 |
| 广州华商学院 | 民办 | 211组 | 436 | 276586 |
2、广东位次对应大学表(历史类)
位次排名3000左右对应大学有:华南师范大学201组(位次2898)、暨南大学209组(位次2810)、暨南大学201组(位次3362)等。
位次排名30000左右对应大学有:岭南师范学院201组(位次30473)、广东海洋大学229组(位次30702)、惠州学院209组(位次29211)等。
完整情况如下:
| 学校名 | 办学 性质 |
专业组 | 2025 分数 |
2025 位次 |
|---|---|---|---|---|
| 中山大学 | 公办 | 221组 | 627 | 1317 |
| 中山大学 | 公办 | 211组 | 626 | 1409 |
| 中山大学 | 公办 | 222组 | 625 | 1433 |
| 北京师范大学 (珠海校区) |
公办 | 208组 | 624 | 1569 |
| 中山大学 | 公办 | 210组 | 623 | 1590 |
| 哈尔滨工业大学 (深圳) |
公办 | 201组 | 619 | 2037 |
| 广州中医药大学 | 公办 | 209组 | 619 | 2062 |
| 华南理工大学 | 公办 | 211组 | 615 | 2478 |
| 暨南大学 | 公办 | 209组 | 613 | 2810 |
| 华南师范大学 | 公办 | 201组 | 612 | 2898 |
| 暨南大学 | 公办 | 201组 | 609 | 3362 |
| 暨南大学 | 公办 | 205组 | 606 | 3867 |
| 暨南大学 | 公办 | 206组 | 605 | 4126 |
| 暨南大学 | 公办 | 207组 | 604 | 4278 |
| 暨南大学 | 公办 | 208组 | 604 | 4307 |
| 华南师范大学 | 公办 | 203组 | 604 | 4325 |
| 华南师范大学 | 公办 | 204组 | 604 | 4417 |
| 华南师范大学 | 公办 | 207组 | 603 | 4477 |
| 暨南大学 | 公办 | 203组 | 603 | 4574 |
| 暨南大学 | 公办 | 204组 | 603 | 4615 |
| 广州中医药大学 | 公办 | 210组 | 602 | 4653 |
| 广州中医药大学 | 公办 | 211组 | 600 | 5280 |
| 华南师范大学 | 公办 | 209组 | 599 | 5426 |
| 深圳大学 | 公办 | 202组 | 598 | 5522 |
| 华南师范大学 | 公办 | 205组 | 598 | 5572 |
| 深圳大学 | 公办 | 201组 | 598 | 5661 |
| 华南师范大学 | 公办 | 202组 | 598 | 5680 |
| 华南师范大学 | 公办 | 210组 | 597 | 5820 |
| 深圳大学 | 公办 | 205组 | 594 | 6507 |
| 华南师范大学 | 公办 | 208组 | 593 | 6868 |
| 华南师范大学 | 公办 | 206组 | 593 | 6889 |
| 深圳大学 | 公办 | 206组 | 592 | 7170 |
| 深圳大学 | 公办 | 203组 | 592 | 7171 |
| 深圳大学 | 公办 | 204组 | 592 | 7271 |
| 广东外语外贸大学 | 公办 | 204组 | 589 | 8150 |
| 广东外语外贸大学 | 公办 | 203组 | 586 | 9030 |
| 华南农业大学 | 公办 | 201组 | 586 | 9104 |
| 广东外语外贸大学 | 公办 | 202组 | 583 | 9931 |
| 广东外语外贸大学 | 公办 | 205组 | 582 | 10296 |
| 华南农业大学 | 公办 | 206组 | 581 | 10583 |
| 广东外语外贸大学 | 公办 | 201组 | 580 | 10934 |
| 广州大学 | 公办 | 224组 | 580 | 11020 |
| 广东外语外贸大学 | 公办 | 206组 | 580 | 11073 |
| 广东财经大学 | 公办 | 205组 | 579 | 11310 |
| 广州大学 | 公办 | 222组 | 579 | 11376 |
| 华南农业大学 | 公办 | 202组 | 577 | 12020 |
| 广州大学 | 公办 | 227组 | 577 | 12118 |
| 华南师范大学 (汕尾校区) |
公办 | 201组 | 577 | 12194 |
| 广州大学 | 公办 | 221组 | 576 | 12295 |
| 华南农业大学 | 公办 | 203组 | 573 | 13703 |
| 广东技术师范大学 | 公办 | 232组 | 572 | 13874 |
| 广州大学 | 公办 | 225组 | 571 | 14270 |
| 南方医科大学 | 公办 | 207组 | 571 | 14424 |
| 广东工业大学 | 公办 | 204组 | 569 | 15003 |
| 广东药科大学 | 公办 | 211组 | 568 | 15656 |
| 华南农业大学 | 公办 | 205组 | 568 | 15683 |
| 广州大学 | 公办 | 226组 | 568 | 15714 |
| 华南农业大学 | 公办 | 207组 | 567 | 15903 |
| 广东技术师范大学 | 公办 | 240组 | 567 | 15948 |
| 深圳技术大学 | 公办 | 204组 | 567 | 16000 |
| 汕头大学 | 公办 | 201组 | 566 | 16596 |
| 广州大学 | 公办 | 223组 | 565 | 16689 |
| 广东技术师范大学 | 公办 | 233组 | 565 | 17015 |
| 广东财经大学 | 公办 | 201组 | 564 | 17144 |
| 汕头大学 | 公办 | 202组 | 564 | 17167 |
| 广东工业大学 | 公办 | 205组 | 563 | 17735 |
| 佛山大学 | 公办 | 220组 | 563 | 17927 |
| 广州医科大学 | 公办 | 205组 | 563 | 17943 |
| 佛山大学 | 公办 | 222组 | 563 | 17952 |
| 华南农业大学 | 公办 | 208组 | 562 | 18085 |
| 广东财经大学 | 公办 | 207组 | 562 | 18195 |
| 广东财经大学 | 公办 | 203组 | 561 | 18634 |
| 广州中医药大学 | 公办 | 213组 | 561 | 18775 |
| 广东工业大学 | 公办 | 202组 | 561 | 18785 |
| 广东财经大学 | 公办 | 209组 | 560 | 18923 |
| 广东技术师范大学 | 公办 | 243组 | 560 | 19041 |
| 广东技术师范大学 | 公办 | 238组 | 560 | 19090 |
| 广东财经大学 | 公办 | 212组 | 560 | 19251 |
| 广东工业大学 | 公办 | 200组 | 560 | 19258 |
| 广东技术师范大学 | 公办 | 236组 | 560 | 19346 |
| 广东工业大学 | 公办 | 201组 | 559 | 19490 |
| 广东工业大学 | 公办 | 203组 | 559 | 19566 |
| 佛山大学 | 公办 | 221组 | 559 | 19728 |
| 深圳职业技术大学 | 公办 | 241组 | 558 | 20061 |
| 佛山大学 | 公办 | 219组 | 558 | 20170 |
| 广东技术师范大学 | 公办 | 242组 | 557 | 20515 |
| 广东警官学院 | 公办 | 202组 | 556 | 20953 |
| 广东第二师范学院 | 公办 | 214组 | 556 | 21028 |
| 广东技术师范大学 | 公办 | 237组 | 556 | 21043 |
| 广州中医药大学 | 公办 | 212组 | 556 | 21146 |
| 广东金融学院 | 公办 | 211组 | 555 | 21588 |
| 广东技术师范大学 | 公办 | 244组 | 553 | 22316 |
| 广东技术师范大学 | 公办 | 241组 | 553 | 22511 |
| 广东第二师范学院 | 公办 | 212组 | 552 | 23229 |
| 广东技术师范大学 (河源校区) |
公办 | 203组 | 550 | 24274 |
| 惠州学院 | 公办 | 204组 | 549 | 24578 |
| 广东第二师范学院 | 公办 | 211组 | 549 | 24624 |
| 广东工业大学 (揭阳校区) |
公办 | 201组 | 549 | 24663 |
| 广东金融学院 | 公办 | 212组 | 548 | 25237 |
| 惠州学院 | 公办 | 201组 | 547 | 25437 |
| 广东药科大学 | 公办 | 214组 | 547 | 25604 |
| 星海音乐学院 | 公办 | 201组 | 547 | 25922 |
| 广东金融学院 | 公办 | 213组 | 547 | 25934 |
| 广东技术师范大学 | 公办 | 239组 | 545 | 27066 |
| 惠州学院 | 公办 | 203组 | 544 | 27090 |
| 东莞理工学院 | 公办 | 206组 | 544 | 27371 |
| 惠州学院 | 公办 | 206组 | 544 | 27386 |
| 五邑大学 | 公办 | 213组 | 544 | 27418 |
| 广东海洋大学 | 公办 | 228组 | 542 | 28710 |
| 广东海洋大学 | 公办 | 231组 | 541 | 28978 |
| 广东第二师范学院 | 公办 | 213组 | 541 | 28995 |
| 惠州学院 | 公办 | 209组 | 541 | 29211 |
| 岭南师范学院 | 公办 | 201组 | 539 | 30473 |
| 广东海洋大学 | 公办 | 229组 | 538 | 30702 |
| 广东金融学院 | 公办 | 214组 | 538 | 30739 |
| 惠州学院 | 公办 | 208组 | 538 | 30841 |
| 惠州学院 | 公办 | 205组 | 538 | 30989 |
| 惠州学院 | 公办 | 202组 | 537 | 31567 |
| 韩山师范学院 | 公办 | 201组 | 537 | 31575 |
| 仲恺农业工程学院 | 公办 | 208组 | 537 | 31718 |
| 广州美术学院 | 公办 | 203组 | 536 | 32132 |
| 广州航海学院 | 公办 | 211组 | 536 | 32201 |
| 广东海洋大学 | 公办 | 230组 | 536 | 32208 |
| 仲恺农业工程学院 | 公办 | 209组 | 536 | 32292 |
| 五邑大学 | 公办 | 212组 | 536 | 32320 |
| 广东医科大学 | 公办 | 212组 | 535 | 32660 |
| 肇庆学院 | 公办 | 203组 | 535 | 32903 |
| 广东第二师范学院 | 公办 | 216组 | 534 | 33769 |
| 肇庆学院 | 公办 | 209组 | 533 | 34015 |
| 惠州学院 | 公办 | 210组 | 533 | 34065 |
| 东莞理工学院 | 公办 | 207组 | 533 | 34093 |
| 韶关学院 | 公办 | 219组 | 532 | 34642 |
| 惠州学院 | 公办 | 207组 | 532 | 35000 |
| 惠州学院 | 公办 | 212组 | 531 | 35143 |
| 岭南师范学院 | 公办 | 206组 | 531 | 35462 |
| 广州体育学院 | 公办 | 201组 | 531 | 35646 |
| 广东金融学院 | 公办 | 215组 | 530 | 35891 |
| 岭南师范学院 | 公办 | 202组 | 530 | 35914 |
| 韩山师范学院 | 公办 | 202组 | 530 | 36202 |
| 惠州学院 | 公办 | 211组 | 529 | 36367 |
| 肇庆学院 | 公办 | 201组 | 529 | 36427 |
| 肇庆学院 | 公办 | 210组 | 529 | 36457 |
| 嘉应学院 | 公办 | 224组 | 528 | 37036 |
| 肇庆学院 | 公办 | 205组 | 528 | 37078 |
| 韩山师范学院 | 公办 | 208组 | 528 | 37290 |
| 韶关学院 | 公办 | 211组 | 527 | 37744 |
| 广东药科大学 | 公办 | 210组 | 527 | 37843 |
| 广东石油化工学院 | 公办 | 209组 | 526 | 38430 |
| 岭南师范学院 | 公办 | 205组 | 525 | 39195 |
| 岭南师范学院 | 公办 | 203组 | 525 | 39457 |
| 肇庆学院 | 公办 | 204组 | 524 | 39906 |
| 韶关学院 | 公办 | 212组 | 524 | 40315 |
| 岭南师范学院 | 公办 | 204组 | 524 | 40338 |
| 广东石油化工学院 | 公办 | 212组 | 523 | 40401 |
| 韶关学院 | 公办 | 218组 | 523 | 40625 |
| 肇庆学院 | 公办 | 208组 | 523 | 40635 |
| 嘉应学院 | 公办 | 226组 | 523 | 40638 |
| 韶关学院 | 公办 | 213组 | 523 | 40813 |
| 韶关学院 | 公办 | 215组 | 523 | 40819 |
| 广东石油化工学院 | 公办 | 211组 | 523 | 40832 |
| 嘉应学院 | 公办 | 222组 | 523 | 40860 |
| 韩山师范学院 | 公办 | 206组 | 523 | 40931 |
| 嘉应学院 | 公办 | 228组 | 523 | 40982 |
| 肇庆学院 | 公办 | 207组 | 522 | 41202 |
| 韶关学院 | 公办 | 220组 | 522 | 41432 |
| 韶关学院 | 公办 | 214组 | 522 | 41433 |
| 韩山师范学院 | 公办 | 204组 | 522 | 41649 |
| 嘉应学院 | 公办 | 223组 | 522 | 41650 |
| 韩山师范学院 | 公办 | 207组 | 521 | 41819 |
| 韩山师范学院 | 公办 | 209组 | 521 | 41831 |
| 韩山师范学院 | 公办 | 205组 | 521 | 41877 |
| 广东石油化工学院 | 公办 | 210组 | 521 | 42071 |
| 韶关学院 | 公办 | 221组 | 521 | 42182 |
| 嘉应学院 | 公办 | 229组 | 520 | 42428 |
| 嘉应学院 | 公办 | 230组 | 520 | 42434 |
| 广东药科大学 | 公办 | 213组 | 520 | 42626 |
| 韩山师范学院 | 公办 | 203组 | 520 | 42767 |
| 嘉应学院 | 公办 | 227组 | 520 | 42799 |
| 嘉应学院 | 公办 | 225组 | 519 | 43455 |
| 珠海科技学院 | 民办 | 207组 | 513 | 48067 |
| 肇庆医学院 | 公办 | 205组 | 507 | 52014 |
| 广州城市理工学院 | 民办 | 204组 | 507 | 52460 |
| 广州新华学院 | 民办 | 201组 | 504 | 55151 |
| 广州新华学院 | 民办 | 202组 | 503 | 55335 |
| 电子科技大学 中山学院 |
民办 | 205组 | 501 | 57314 |
| 电子科技大学 中山学院 |
民办 | 209组 | 501 | 57328 |
| 广东白云学院 | 民办 | 218组 | 498 | 59979 |
| 广东白云学院 | 民办 | 219组 | 495 | 62344 |
| 广东外语外贸大学 南国商学院 |
民办 | 211组 | 495 | 62487 |
| 广东外语外贸大学 南国商学院 |
民办 | 213组 | 494 | 62918 |
| 广东外语外贸大学 南国商学院 |
民办 | 212组 | 493 | 64001 |
| 广东东软学院 | 民办 | 219组 | 491 | 65111 |
| 广东白云学院 | 民办 | 220组 | 491 | 65744 |
| 广东白云学院 | 民办 | 226组 | 488 | 68547 |
| 广州南方学院 | 民办 | 203组 | 488 | 68569 |
| 广州南方学院 | 民办 | 201组 | 487 | 68870 |
| 广东外语外贸大学 南国商学院 |
民办 | 215组 | 487 | 69431 |
| 广东外语外贸大学 南国商学院 |
民办 | 214组 | 486 | 69814 |
| 广州商学院 | 民办 | 201组 | 486 | 70224 |
| 广东东软学院 | 民办 | 220组 | 485 | 70952 |
| 广东东软学院 | 民办 | 221组 | 485 | 71229 |
| 广东东软学院 | 民办 | 222组 | 484 | 71483 |
| 广东白云学院 | 民办 | 224组 | 484 | 72037 |
| 广州应用科技学院 | 民办 | 202组 | 484 | 72116 |
| 广东白云学院 | 民办 | 222组 | 482 | 74063 |
| 广州应用科技学院 | 民办 | 203组 | 481 | 74319 |
| 广州软件学院 | 民办 | 220组 | 481 | 74715 |
| 广州商学院 | 民办 | 203组 | 481 | 74877 |
| 广东白云学院 | 民办 | 223组 | 480 | 75551 |
| 广东东软学院 | 民办 | 223组 | 480 | 75816 |
| 广州南方学院 | 民办 | 202组 | 480 | 76004 |
| 广州软件学院 | 民办 | 216组 | 478 | 77621 |
| 广东白云学院 | 民办 | 221组 | 477 | 78693 |
| 广东培正学院 | 民办 | 206组 | 476 | 79562 |
| 广州科技职业 技术大学 |
民办 | 201组 | 475 | 80134 |
| 广州应用科技学院 | 民办 | 205组 | 474 | 80966 |
| 广州软件学院 | 民办 | 219组 | 473 | 81957 |
| 广东培正学院 | 民办 | 205组 | 472 | 83044 |
| 东莞城市学院 | 民办 | 204组 | 468 | 87477 |
| 东莞城市学院 | 民办 | 205组 | 467 | 87628 |
| 广州华商学院 | 民办 | 202组 | 467 | 87849 |
| 华南农业大学 珠江学院 |
民办 | 201组 | 464 | 90806 |
| 广东理工学院 | 民办 | 203组 | 464 | 90817 |
| 湛江科技学院 | 民办 | 206组 | 464 | 90861 |
| 广州应用科技学院 | 民办 | 208组 | 464 | 90979 |
| 广州工商学院 | 民办 | 204组 | 464 | 91000 |
| 广州工商学院 | 民办 | 203组 | 464 | 91044 |
| 广东理工学院 | 民办 | 212组 | 464 | 91139 |
| 广州南方学院 | 民办 | 204组 | 464 | 91184 |
| 广州工商学院 | 民办 | 206组 | 464 | 91298 |
| 广州华立学院 | 民办 | 211组 | 464 | 91363 |
| 广东理工学院 | 民办 | 201组 | 464 | 91389 |
| 广州华立学院 | 民办 | 208组 | 464 | 91394 |
| 广州工商学院 | 民办 | 202组 | 464 | 91423 |
| 广州应用科技学院 | 民办 | 206组 | 464 | 91444 |
| 广东科技学院 | 民办 | 204组 | 464 | 91469 |
| 广州应用科技学院 | 民办 | 204组 | 464 | 91470 |
| 广州软件学院 | 民办 | 217组 | 464 | 91502 |
| 广东工商 职业技术大学 |
民办 | 203组 | 464 | 91536 |
| 广东科技学院 | 民办 | 201组 | 464 | 91596 |
| 广州应用科技学院 | 民办 | 207组 | 464 | 91600 |
| 广东理工学院 | 民办 | 202组 | 464 | 91604 |
| 广州工商学院 | 民办 | 205组 | 464 | 91614 |
| 湛江科技学院 | 民办 | 204组 | 464 | 91622 |
| 华南农业大学 珠江学院 |
民办 | 208组 | 464 | 91633 |
| 广州华商学院 | 民办 | 201组 | 464 | 91635 |
| 广州华立学院 | 民办 | 210组 | 464 | 91636 |
| 广州工商学院 | 民办 | 201组 | 464 | 91638 |
| 广东工商 职业技术大学 |
民办 | 204组 | 464 | 91641 |
| 华南农业大学 珠江学院 |
民办 | 202组 | 464 | 91648 |
| 广州理工学院 | 民办 | 203组 | 464 | 91652 |
| 东莞城市学院 | 民办 | 203组 | 464 | 91654 |





