2025年高考数学总共有5套试卷,包括新高考一卷、新高考二卷、天津卷、北京卷和上海卷,本文整理2025高考数学试卷真题以及答案详细解析汇总,供全国所有考生参考。
一、2025新高考一卷数学试卷及答案解析
新高考一卷适用地区:浙江、山东、广东、福建、湖南、湖北、河北、江苏、江西、安徽、河南
二、2025新高考二卷数学试卷及答案解析
新高考二卷适用地区:海南、重庆、辽宁、贵州、广西、吉林、黑龙江、甘肃、四川、云南、内蒙古、陕西、山西、青海、宁夏、新疆、西藏
三、2025高考北京卷数学试卷及答案解析
北京卷适用地区:北京
2025年高考北京数学考试时间为6月7日15:00-17:00,本文会在考试结束后整理更新相关试卷内容以及答案分析,各位考生可保持关注了解。
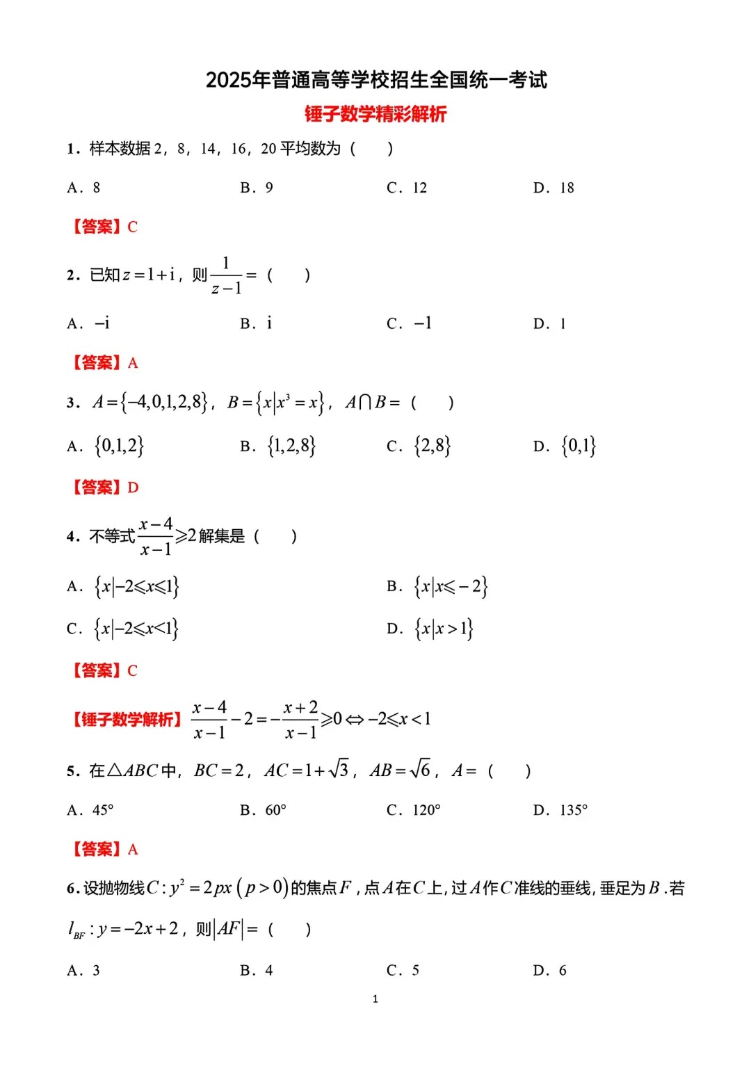
部分试题(回忆版):
四、2025高考天津卷数学试卷及答案解析
天津卷适用地区:天津
五、2025高考上海卷数学试卷及答案解析
上海卷适用地区:上海
考后提醒:
①保管好准考证及密码,及时关注各省教育考试院发布的成绩查询及志愿填报时间,避免错过关键节点;
②警惕“内部指标”“提前查分”等诈骗套路,所有招生信息以官方渠道为准;
③合理规划假期,注意出行安全,避免沉迷网络或过度放纵;
④保持平和心态,无论结果如何,积极面对人生新阶段。
建议提前了解心仪院校专业,为志愿填报做好准备,开启充实而有意义的暑期生活。


